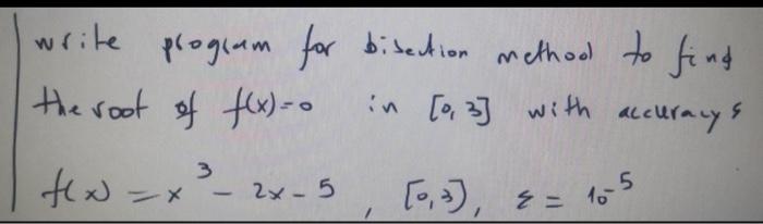
Question: no hand writing please (in c++ or java) write program for bisection method to find the root of f(x)=0 in [., 3] with accuracy tx=x-
write program for bisection method to find the root of f(x)=0 in [., 3] with accuracy tx=x- 2x-5 [0, 3), &- 165
Step by Step Solution
There are 3 Steps involved in it
Get step-by-step solutions from verified subject matter experts
