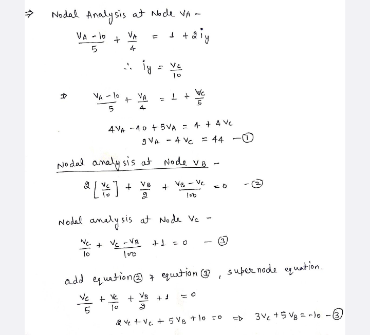
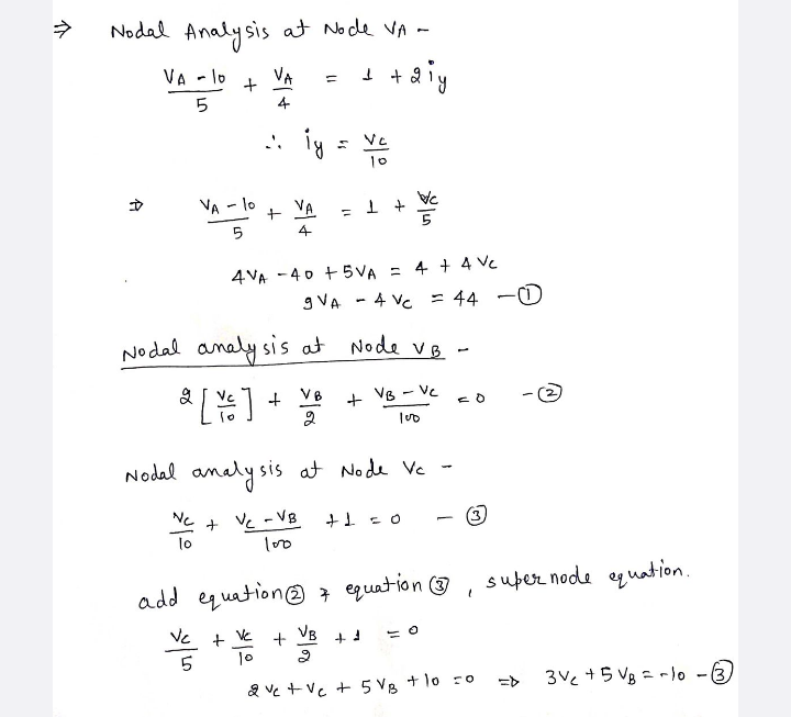
Question: Nodal Analysis at Node VA - VA - 10 + VA 5 4 .. ly = Vc 10 D VA - 10 4 VA 5


Nodal Analysis at Node VA - VA - 10 + VA 5 4 .. ly = Vc 10 D VA - 10 4 VA 5 4 VA - 40 + 5VA = 4 + 4 VC 9 VA - 4 Vc = 44 -D Nodal analysis at Node VB - 2 4 6] + VB + VB - VC = 0 - 2 Nodal analysis at Node Vo - 3 1 0 add equation @ equation (3) , supernode equation. 5 9 a vet Ve + 5 Vp + 10 :0 =D 3Vc +5 VB = -10 -(3)
Step by Step Solution
There are 3 Steps involved in it
Get step-by-step solutions from verified subject matter experts
