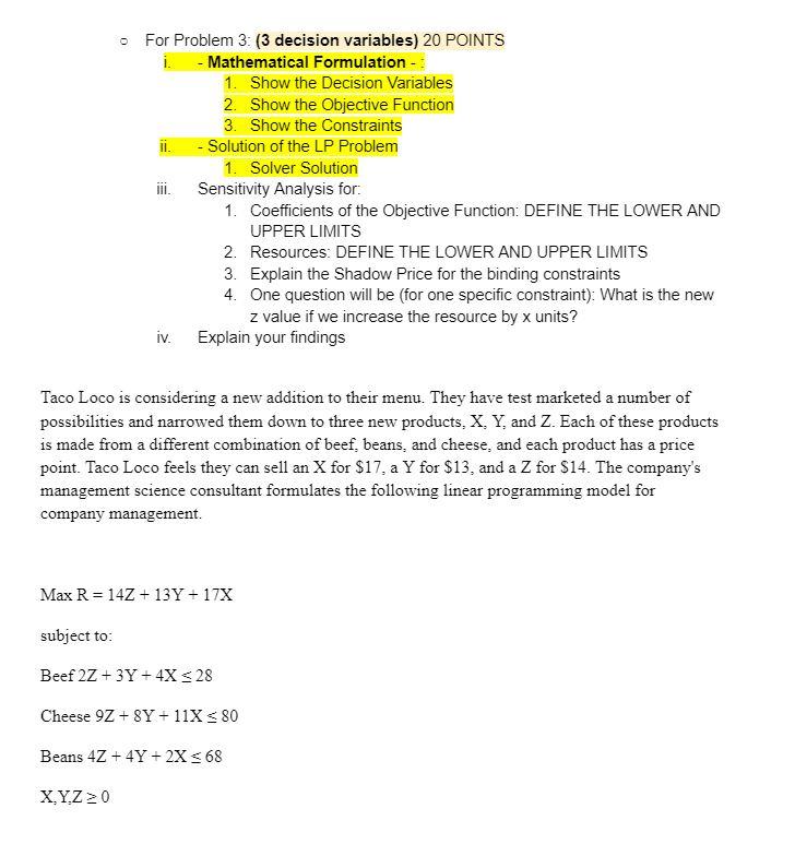
Question: o For Problem 3: (3 decision variables) 20 POINTS - Mathematical Formulation - 1. Show the Decision Variables 2. Show the Objective Function 3. Show

Step by Step Solution
There are 3 Steps involved in it
1 Expert Approved Answer
Step: 1 Unlock
Question Has Been Solved by an Expert!
Get step-by-step solutions from verified subject matter experts
Step: 2 Unlock
Step: 3 Unlock
