Question: Objective m Sample Problem Find the standard 12 1. Find the standard equation of the circle and then graph it. equation of a circle Center
















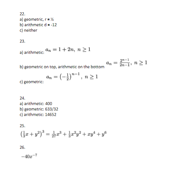
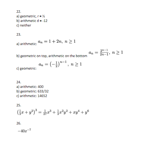
Objective m Sample Problem Find the standard 12 1. Find the standard equation of the circle and then graph it. equation of a circle Center (4, -2}, radius 3 and graph it Complete the square in order to put the equation oia circle into standard form Find the equation of a circle '-.J N 7'4 .\"'"' 7'4 . co co m 2. Complete the square in order to put the equation into standard form. Identify the center and the radius. 324m+y2+10y=25 3. Find the standard equation of the circle which satisfies the given criteria cent-er {3, 6), passes through (1,4} 4. Graph the equation of a parabola. Identify vertex, directix and focus (y 4)? = 13m 2) Graph the equation of a parabola. Identifyr vertex, directix and focus Write equation of 5. Put the equation into standard form and identify the vertex, focus parabola in standard and directrix form 25x2 + 201: + 53,; 1 = 0 Find the equation of the parabola E. Find an equation for the parabola which fits the given criteria Focus (10,1), direotrix :t: = 5 3'. Graph the ellipse. Find the center, the vertices and the foci. ('+5)2 (ti-41'2 16 + 1 8. Put the equation in standard form. Find the center, the vertices, and the foci. 121122 + 3y2 30y + 39 = f} 9. find the standard form of the equation of the ellipse which has the given properties. Fool (El, i5), Vertices (0, i8). 4:. Graph an ellipse. Identity.r center, vertices and foci : 1 Write equation of ellipse in standard form ma 4:. . 3'4 3'4 3'4 4;. Lu Find the equation of an ellipse Graph a hyperbole. Identity center, yertices, foci and asym ptotes Write the equation of the hyperbole in standard form Find the equation of the hyperbole Put system of equation in triangularform. Identify type of solution as consistent independent, consistent dependent, or inconsistent. Determine the solutions of a system of equations from an augmented matrix Solve a system of equations using Gaussian Elimination Solye application problems using systems of eq uation s Perform operations on matrices such as scalar multiplication, matrix multiplication, addition and subtraction, exponents 1121. Find the center, the yertices, the foci and the equations of the asymptotes. Graph the hyperbole. (m+1)2 (y3)2_ 9 _ 4 _ 11. Put the equation in standard form. Find the center, the yertices, the foci and the equations of the asymptotes. 18y25$2+?2y+30x63= 12. Find the standard form of the equation of the hyperbole which has the giyen properties. Vertex (, 1], Vertex (8,1), Focus [3, 1) 13. Put system of equation in triangular form. Identify type of solution as consistent independent, consistent dependent, or inconsistent 4xy+z 5 2y+z 3i] 3+2 5 1 14. Using the augmented matrix: a} How many variables does this system of equations have? b} Write the equations from each row of the matrix c] Determine the solution of the corresponding system of linear equations or state that the system is inconsistent. 1003|4 0106| 0010|2 15. Solve the systems of linear equations using Gaussian elimination. For dependent systems giye solution using a parameter ry+z = 4 3:c+2y+4z = 5 :r-5y+22 -18 15. It's time for a meal at our local buffet. 22 diners {5 of whom were children} feasted for $162.25, before taxes. If the kids buffet is $4.50, the basic buffet is $2.5I], and the deluxe buffet {with crab legs} is $9.25, nd out how many diners chose the deluxe buffet. 12. Use the matrix I '2 3 E: (I! 4 9 (1 5 To calculate E2 + 5E _ 3\"\" Find Partial Fraction 3.6 18. Find the partial fraction decomposition of the following rational Decomposition with expression. linear factors -7x + 43 3x2 + 19x - 14 Find Partial Fraction 8.6 19. Find the partial fraction decomposition of the following rational Decomposition with expression. repeated linear factors 5x2+20x+8 2x(x+1) 2 Find Partial Fraction 8.6 20. Find the partial fraction decomposition of the following rational Decomposition with expression. irreducible quadratic factors 4x2+6x+11 (x+2) (x2+x+3) Solve a system of non- 8.7 21. Solve the given system of nonlinear equations. Use a graph to help linear equations you avoid any potential extraneous solutions. x + 2y2 x2 + 4y2 2 Determine if a 9.1 22. Determine if the given sequence is arithmetic, geometric or sequence is arithmetic neither. If it is arithmetic, find the common difference d; if it is or geometric geometric, find the common ratio r. 1 1 1 1 3' 6' 12' 24' a) b) 17, 5, -7, -19, . . . c) 2, 22, 222, 2222, . . . Find a general term of 9.1 23. find an explicit formula for the nth term of the given sequence a sequence a) 3, 5, 7, 9, . . . 2 48 13'5'7' ... b) 1 2' 4' c) Find the sum of 9.2 24. Use the sum formulas for arithmetic and geometric sequences to arithmetic and find the following sums geometric sequences 20 2n - 1 a) n=1 5 n n=11+4+7+ ...+ 295 c) Use Pascal's Triangle 9.4 25. Use Pascal's Triangle to expand the given binomial. Use Pascal's Triangle 9.4 26. Use the Binomial Theorem to find the indicated term and the Binomial Theorem The term containing in the expansion (2x - x-3)5Answers to sample problems: 1. (x - 4)' + (y +2)3 =9 (x - 2)2 + (y + 5)? = 4 2. Center (2, -5), radius r = 2 3. (2 - 3)2 + (y - 6)2 = 20 4. (y - 4)2 = 18(2 - 2) Vertex (2, 4) Focus (13,4) Directrix = = - Endpoints of latus rectum (13, -5), (13, 13) 5. (x + )' =-1(y-1) Vertex (-, 1) Focus (-: 20) Directrix y = ? 6. (9 - 1)2 = 10 (x - 4) 7.(x + 5)2 (y - 4)2 = 1 16 Center (-5,4) Meier Vertices (-9, 4), (-1, 4) Endpoints of Minor is Foci (-5 + v15, 4), (-5 - V15, 4) -9 -8 -7 -6 -5 -4 -3 -2 8. (y - 5)2 + - = 1 3 12 Center (0, 5) Major axis along a = 0 Minor axis along y = 5 Vertices (0,5 - 2V/3), (0,5 + 2v/3) Endpoints of Minor Axis (-V/3,5), (v3,5) Foci (0, 2), (0, 8) 39 64 9. 10. (+ 1)2 (y-3)2 . = 1 9 Center (-1, 3) Transverse axis on y = 3 Conjugate axis on = = -1 Vertices (2, 3), (-4, 3) Foci (-1 + v13, 3) , (-1 - V13, 3) Asymptotes y = +(x + 1) +3 11. (y + 2)2 (x - 3)2 = 1 5 18 Center (3, -2) Transverse axis on r = 3 Conjugate axis on y = -2 Vertices (3, -2 + v5), (3, -2 - v5) Foci (3, -2 + v23), (3, -2 - V23) Asymptotes y = 1 1 10(x - 3) - 2 12.(ex - 4)2 (y - 1)2 =1 16 33 13. e - lythz = Consistent dependent y + 32 = Solution (-t + 5, -3t + 15, t) 0 = 0 for all real numbers t (-3t + 4, -6t - 6, 2, t) 14. for all real numbers t 15. (1, 3, -2) 16. 7 diners chose the deluxe buffet 17. -30 20 -15 E2 + 5E - 3613 = 0 0 -36 0 0 -36 18. -7x + 43 5 4 3x2 + 19x - 14 3x - 2 I+7 19. 3 7 2(x+1) + 2(x+1)2 20. x+1 + 3 x2+x+3 X+2 21. (0, +1), (2, 0) 022. a) geometric, r = 12 b) arithmetic d = -12 c) neither 23. a) arithmetic. On = 1 + 2n, n 2 1 20-1 an = b) geometric on top, arithmetic on the bottom 2n-1,n21 an = (-})"-, n21 c) geometric: 24. a) arithmetic: 400 b) geometric: 633/32 c) arithmetic: 14652 25. (ity?) =4x3+xy+zyty 26. -40x-7
Step by Step Solution
There are 3 Steps involved in it
Get step-by-step solutions from verified subject matter experts
