Question: ONLY CODE IN C LANGUAGE PLEASE Program to calculate the final velocity (v) and the displacement (s) of the moving vehicle given the initial velocity(u),
ONLY CODE IN C LANGUAGE PLEASE
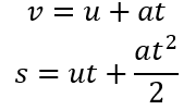
Program to calculate the final velocity (v) and the displacement (s) of the moving vehicle given the initial velocity(u), time travelled (t) and the acceleration (a)

Execution format
Sample Execution
Input
10
12
40
Output
490.00
3000.00
v=u + at u at2 S= ut + 2 ne
Step by Step Solution
There are 3 Steps involved in it
Get step-by-step solutions from verified subject matter experts
