Question: Only do mentioned questions. Make 3 problem with solution. With graph solutions. Method. Plan Area. And make 2 trigonometric questions with solutions and references. Do
Only do mentioned questions.
Make 3 problem with solution. With graph solutions. Method. Plan Area.
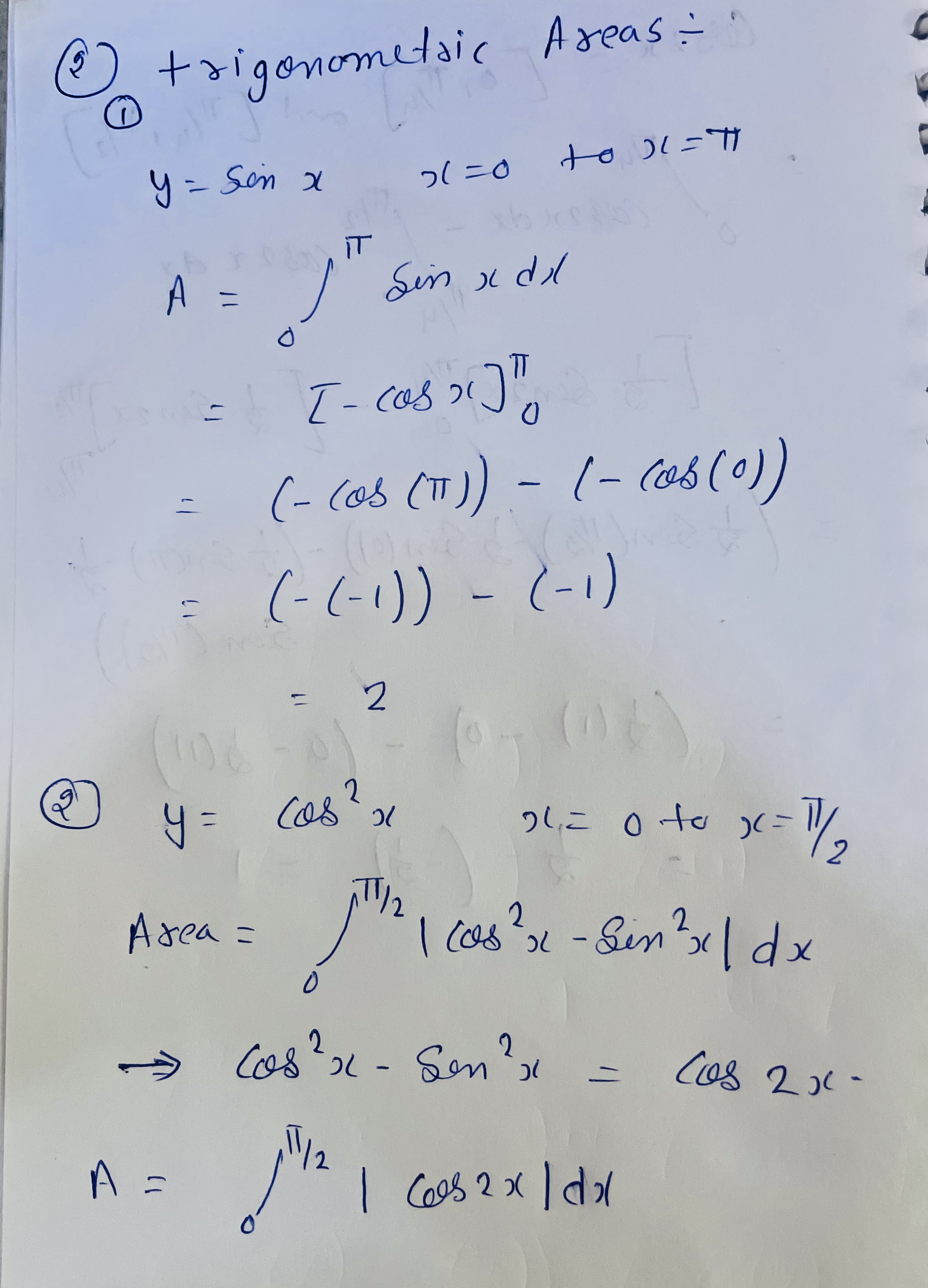
And make 2 trigonometric questions with solutions and references.
Do not copy paste okk.
Will just dislike
List of books and reference materials where your solved problems came from.







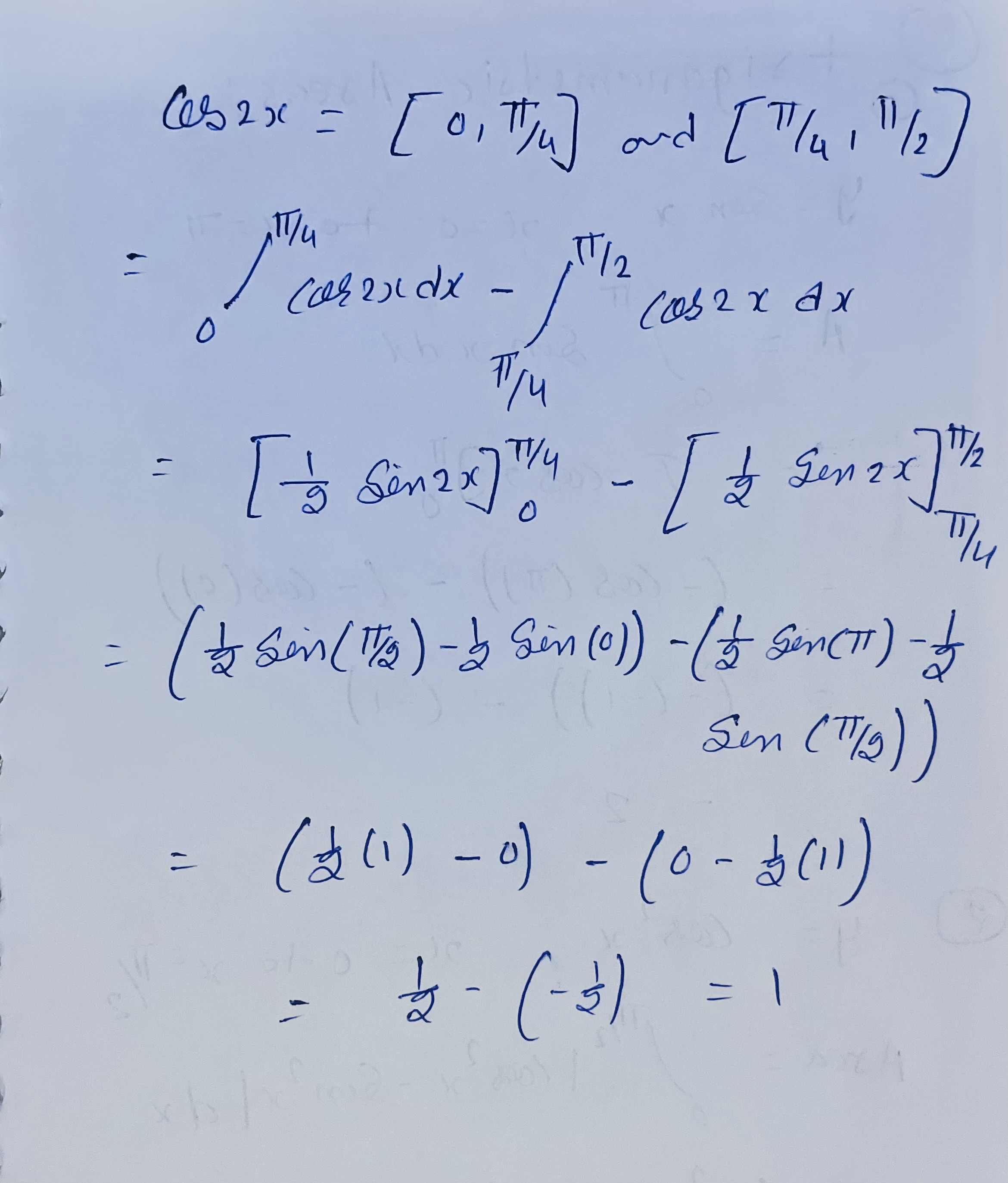
Calculus: (2lessons x 6- 12 problems). Lessons: Plane Areas (3prob) with trigonometric (2prob) polar coordinates (1prob) Solids of Revolution a. Circular Disk Method (3problems) b. Cylindrical Shell Method (3problems) 2. List of books and reference materials where your solved problems came from 3. Do not submit examples from the reference books and solved problems from reviewers or the Internet as this will defeat the purpose of this assignment which is to encourage you to solve problems on your own and thus gnin familiarity with the different integration procedures,And Pro - 1 4 = xx 2 and y= 4x - x2 O X ? = 426 - x2 2 2 26 = 4 21 be 2 - 2 21 = 0 x ( 2( - 2 ) = 0 21 = 0 and 20= 2 5 079 integral for the area between the curves 2 A = 2 ( 421 - 22 ( 2 ) dx 2 x 2 - 2 x8 ) ?= ( 2 ( 2) 2 2 ( 2 ) 3 -/ 2 10 ) ( 8 - 16 D 24 16 - pro - 2 y = sen ( , y = (28x - al = 0 to 2( = 1/ Area = 1/ 2 1 (osx - sing) di if ( of )1 = sen I intersect within the interval (0821 = Gin s\f\f\f( 08 231 = [ 0, T ju) and [la , 1 12 ) 1 / u I corzoidx - 1 1 2 0 ($ 2 x ax [- Sin 2x ) T/4 Ten 2x 0 - ( sen (1/3 ) - 3 Sin 10)) -(2 Sen (TT) -2 Sen (7/g) ) = ( * (1) - 0) - (0 - 3 (11 ) 2 - ( - 3 ) = 1
Step by Step Solution
There are 3 Steps involved in it
Get step-by-step solutions from verified subject matter experts
