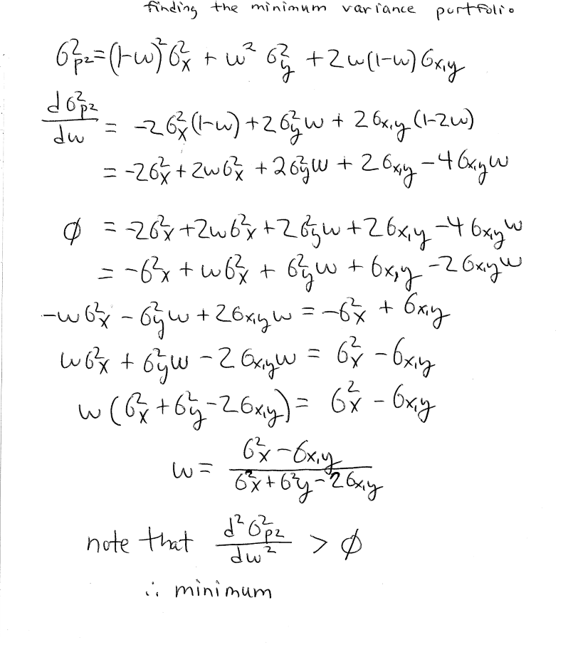
Question: Only want WORD answer don't want math steps, just explain what happened mathematically in words each step shown here. Thanks! Modern Portfolio Theory. 'fi^dinj +-he
Only want WORD answer don't want math steps, just explain what happened mathematically in words each step shown here. Thanks! Modern Portfolio Theory.
'fi^dinj +-he minmum vartance purtFolr mini mum 'fi^dinj +-he minmum vartance purtFolr mini mum
Step by Step Solution
There are 3 Steps involved in it
Get step-by-step solutions from verified subject matter experts
