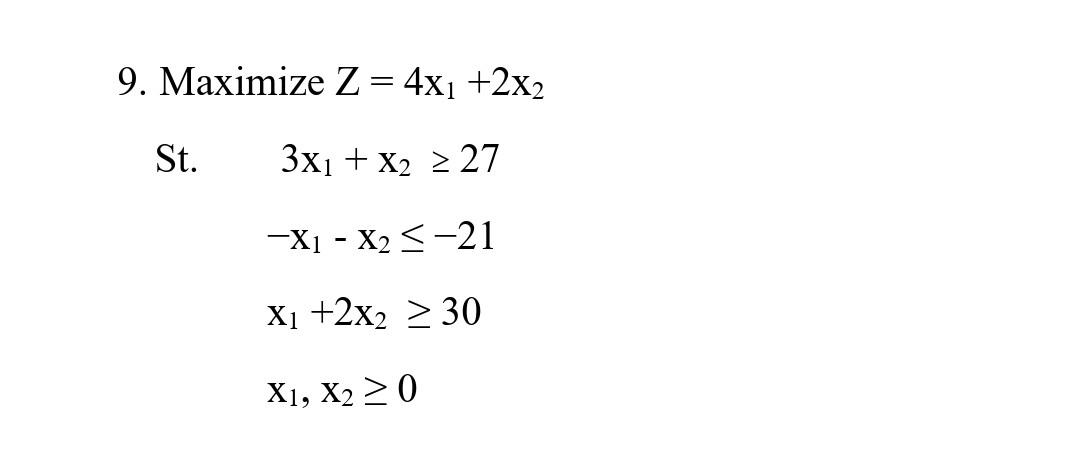
Question: operations research subject Third: Convert the following LP Model into standard form 9. Maximize Z = 4x1 +2x2 St. 3x1 + x2 > 27 -X1


operations research subject
Third: Convert the following LP Model into standard form 9. Maximize Z = 4x1 +2x2 St. 3x1 + x2 > 27 -X1 - X2 30 X1, X2 > 0Step by Step Solution
There are 3 Steps involved in it
1 Expert Approved Answer
Step: 1 Unlock
Question Has Been Solved by an Expert!
Get step-by-step solutions from verified subject matter experts
Step: 2 Unlock
Step: 3 Unlock
