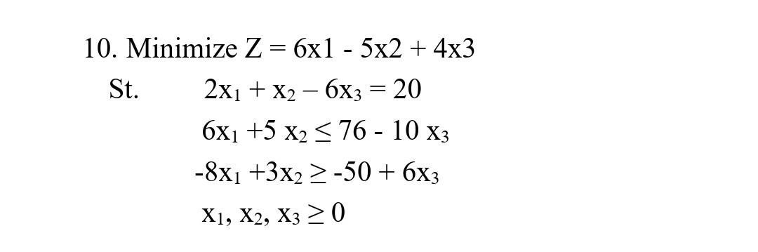
Question: operations research subject Third: Convert the following LP Model into standard form 10. Minimize Z= 6x1 - 5x2 + 4x3 St. 2x1 + X2 6X3


operations research subject
Third: Convert the following LP Model into standard form 10. Minimize Z= 6x1 - 5x2 + 4x3 St. 2x1 + X2 6X3 = 20 6X1 +5 x2 -50 + 6X3 X1, X2, X3 > 0Step by Step Solution
There are 3 Steps involved in it
1 Expert Approved Answer
Step: 1 Unlock
Question Has Been Solved by an Expert!
Get step-by-step solutions from verified subject matter experts
Step: 2 Unlock
Step: 3 Unlock
