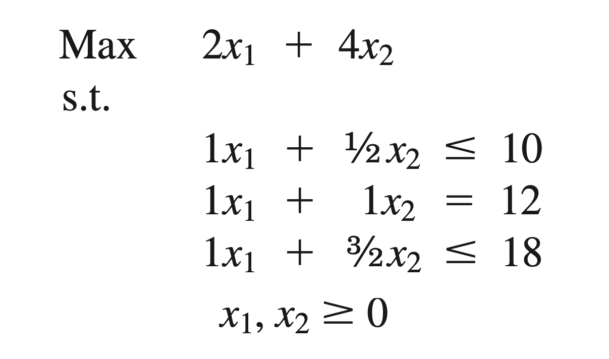
Question: Optimal solution Infeasible solution Unbounded solution Alternative optimal solutions Degenerate solution For each linear program, determine the solution situation that exists, and indicate how you
-
Optimal solution
-
Infeasible solution
-
Unbounded solution
-
Alternative optimal solutions
-
Degenerate solution
For each linear program, determine the solution situation that exists, and indicate how you identified each situation using the simplex method. For the problems with alternative optimal solutions, calculate at least two optimal solutions.

Step by Step Solution
There are 3 Steps involved in it
1 Expert Approved Answer
Step: 1 Unlock
Question Has Been Solved by an Expert!
Get step-by-step solutions from verified subject matter experts
Step: 2 Unlock
Step: 3 Unlock
