Question: Part 7 Standard Cost System (35 points) Section 1 Buttons Company makes Cat Leashes. The company uses a Standards cost system for its products. According


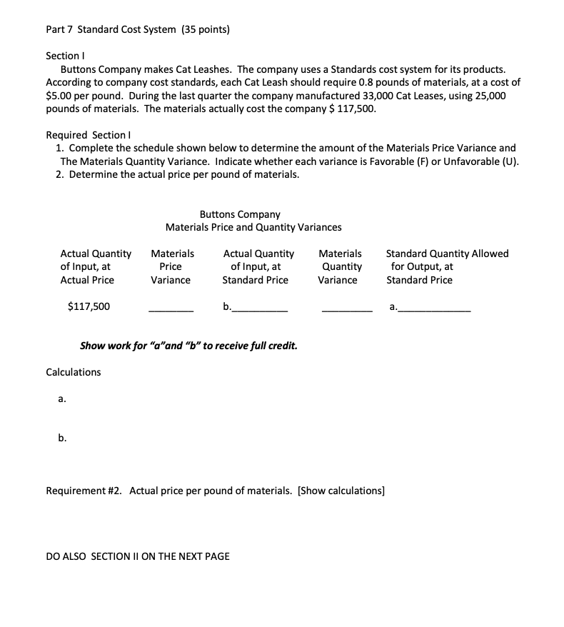
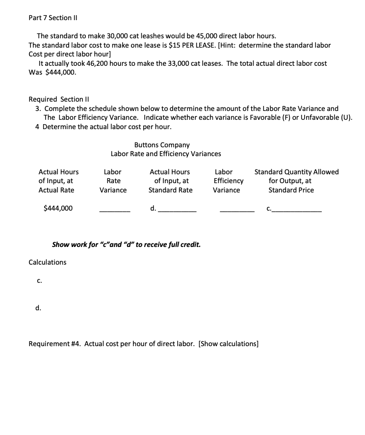
Part 7 Standard Cost System (35 points) Section 1 Buttons Company makes Cat Leashes. The company uses a Standards cost system for its products. According to company cost standards, each Cat Leash should require 0.8 pounds of materials, at a cost of $5.00 per pound. During the last quarter the company manufactured 33,000 Cat Leases, using 25,000 pounds of materials. The materials actually cost the company $ 117,500. Required Section 1 1. Complete the schedule shown below to determine the amount of the Materials Price Variance and The Materials Quantity Variance. Indicate whether each variance is Favorable (F) or Unfavorable (U). 2. Determine the actual price per pound of materials. Buttons Company Materials Price and Quantity Variances Actual Quantity of Input, at Actual Price Materials Price Variance Actual Quantity of Input, at Standard Price Materials Quantity Variance Standard Quantity Allowed for Output, at Standard Price $117,500 b. a. Show work for "a"and b to receive full credit. Calculations a. b. Requirement #2. Actual price per pound of materials. [Show calculations] DO ALSO SECTION II ON THE NEXT PAGE Part 7 Section 11 The standard to make 30,000 cat leashes would be 45,000 direct labor hours. The standard labor cost to make one lease is $15 PER LEASE. (Hint: determine the standard labor Cost per direct labor hour] It actually took 46,200 hours to make the 33,000 cat leases. The total actual direct labor cost Was $444,000. Required Section 11 3. Complete the schedule shown below to determine the amount of the Labor Rate Variance and The Labor Efficiency Variance. Indicate whether each variance is Favorable (F) or Unfavorable (U). 4 Determine the actual labor cost per hour. Buttons Company Labor Rate and Efficiency Variances Actual Hours of Input, at Actual Rate Labor Rate Variance Actual Hours of Input, at Standard Rate Labor Efficiency Variance Standard Quantity Allowed for Output, at Standard Price $444,000 d. Show work for "c" and "d" to receive full credit. Calculations C. d. Requirement #4. Actual cost per hour of direct labor. [Show calculations]
Step by Step Solution
There are 3 Steps involved in it
Get step-by-step solutions from verified subject matter experts
