Question: Part A A parallel-plate capacitor is charged to 5000 V. A proton s fired into the center of the capacitor at a speed of What




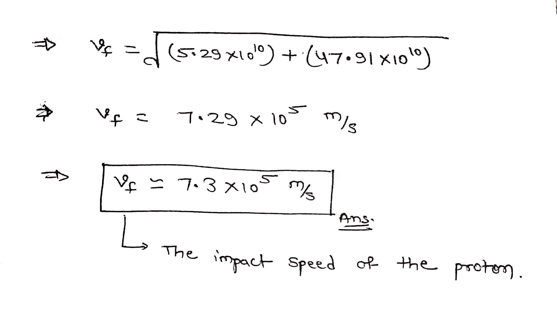
Part A A parallel-plate capacitor is charged to 5000 V. A proton s fired into the center of the capacitor at a speed of What is the impact speed of the proton? 2.3x105 m/s as shown in (Figure 1). The proton is deflected while inside the capacitor, and the plates are Express your answer with the appropriate units. long enough that the proton will hit one of them before emerging from the far side of the capacitor. ? Uf = 5 . 1011 S Submit Previous Answers Request Answer X Incorrect; Try Again; One attempt remaining Provide Feedback Figure
Step by Step Solution
There are 3 Steps involved in it
Get step-by-step solutions from verified subject matter experts
