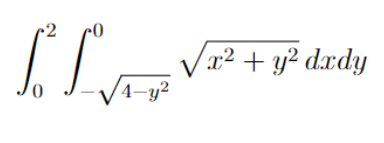
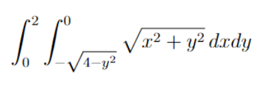
Question: Part A.) Evaluate: cos(y3) dyd:r


Part A.) Evaluate:


cos(y3) dyd:r
Step by Step Solution
There are 3 Steps involved in it
Get step-by-step solutions from verified subject matter experts
