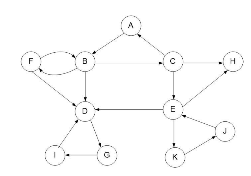
Question: Perform a depth-first se arch on the graph assuming that the vertices and adjacency lists are listed in alphabetical order. Classify each edge as tree,
Perform a depth-first se
arch on the graph assuming that the vertices and adjacency lists are listed in alphabetical order. Classify each edge as tree, forward, back or cross edge. Label each vertex with its start and finish time.
Step by Step Solution
There are 3 Steps involved in it
Get step-by-step solutions from verified subject matter experts
