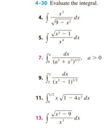
Question: please 5,9 and 13 4-30 Evaluate the integral. x2 4. S 4 dx V9 - x 5. / dx 7.80 dx (a? + x)2 a>
4-30 Evaluate the integral. x2 4. S 4 dx V9 - x 5. / dx 7.80 dx (a? + x)2 a> 0 dx 9. S a* (x - 1)3/2 11. ("?XVI 4x? dx 1 13.11 2-9 dx
Step by Step Solution
There are 3 Steps involved in it
Get step-by-step solutions from verified subject matter experts
