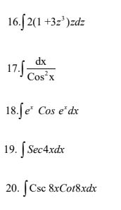
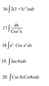
Question: Please answer 16- 20 and please make it clean and readable please. 16.[ 2(1 +323)zdz dx 17. Cos x 18. e' Cos edx 19. Sec4xdx

Please answer 16- 20 and please make it clean and readable please.

16.[ 2(1 +323)zdz dx 17. Cos x 18. e' Cos edx 19. Sec4xdx 20. Csc &x Cot8xdx
Step by Step Solution
There are 3 Steps involved in it
Get step-by-step solutions from verified subject matter experts
