Question: PLEASE ANSWER ALL ALL INFO IS PROVIDED, pls do 20% Revenues, Costs, and Flash Report for the KFBS Allstars Concert Exhibit 2 is a mock








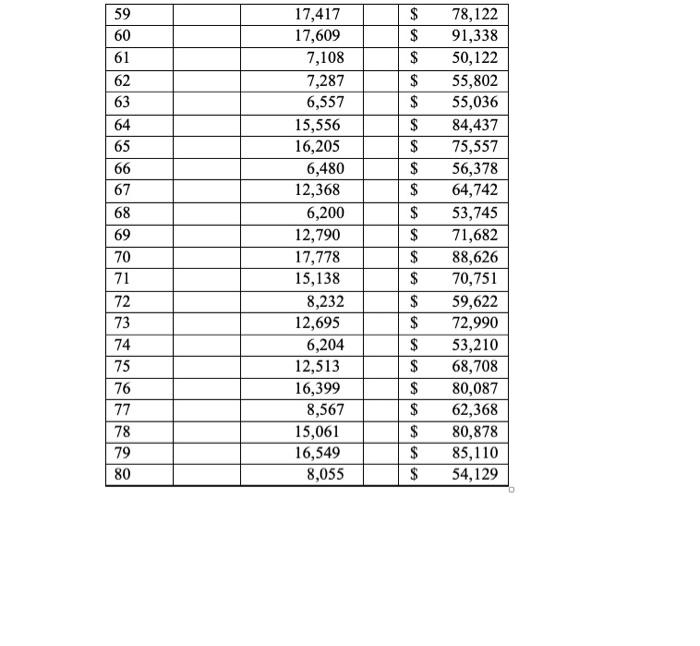
Revenues, Costs, and Flash Report for the KFBS Allstars Concert Exhibit 2 is a mock flash report for an illustrative fixed-fee show, the KFBS Allstars. A flash report is a projection of costs and revenues for a scheduled concert. The guarantee/talent cost ($260,635) is the amount the KFBS Allstars are guaranteed for the show. Projected sales is the number of projected paying ticket holders, while the "drop count" is total attendance, including both paid and comp tickets. Setting ticket price is often done together with the performer, taking into consideration Live Nation's national and regional pricing policies, prices of comparable venues, and the Pavilion's desired profit for the concert. Pam uses the flash report to plan potential concerts and to evaluate the success of concerts already presented. The report shows the variety of revenues and costs for a concert, and the projected profit for the concert. The flash report projects total revenues including ticket sales, parking, food, and merchandise based on per capita (drop count) rates. Ticket sales are in four ticket categories: A seats and B seats are regular price tickets for the reserved and lawn seating sections respectively; C and D seats are promotional (discount) price tickets for reserved and lawn seating, respectively. Other revenues include per capita facility charges paid by the sponsoring corporation for naming rights (based on paid ticket holders) and a per capita service charge paid by the performer for food, transportation, and other services. Not included are the annual lease payments for VIP seats at $10,000 per year. Patrons to the VIP seats also have to pay the ticket price of A-level seats. Reserved and lawn seating areas are shown in Exhibit 1. The parking, food concession, and merchandise operations are outsourced to other service providers, so the direct costs for parking, merchandise and concessions are determined based on contracts with the service providers that include both a percentage (10 percent) of applicable revenues and a fixed fee. Operating expenses include an allocation of the total of fixed production and operations costs for the season, the advertising expenses for the KFBS Allstars event and other variable expenses. These are then added to the direct costs for concessions, merchandise, parking, and insurance to determine total operating expenses. REQUIRED 1. How would you describe the competitive strategy of the Coastal Credit Union Music Park? Given the firm's strategy, what are the critical success factors for the Pavilion to achieve its goal of continuous annual growth in operating income? The competitive strategy of Pavilion is to create a competitive advantage for itself by offering art- like acoustics and video differentiating in its outdoor concert venues. The most important quantitative measures for the Pavilion to track and manage if it is to achieve its goal of continuous annual growth in operating income is based on advertising media, customer satisfaction, and parking. These quantitative measures will help in maximizing ticket sales. 2. Complete two selected cost-volume-profit analyses for the show illustrated in Exhibit 2, the KFBS Allstars (Think of there being two products - Regular Tickets and Comp Tickets): a) How many tickets must the Coastal Credit Union Music Park sell to break even for KFBS? b) How many tickets must Coastal sell to earn $30,000 operating income after taxes, assuming a 20 percent tax rate? 3. What should be the average ticket price for the KFBS concert if the fixed-pay fee is $300,000 and the Music Park expects to sell 7,000 tickets and wants to earn $30,000 after 20 percent in taxes? 4. Negotiating the fee for the KFBS Allstars: fixed-pay or per capita contracts: a) What is the maximum fixed fee that the Pavilion can pay the KFBS Allstars if the Pavilion wants to earn $45,000 after 20 percent tax and expects the show to have an average ticket price of $36.29? Assume the show is expected to draw 7,000 paying ticket holders. b) What is the maximum fixed fee that the Pavilion can pay the KFBS Allstars if the Pavilion wants to earn $45,000 after 20 percent tax and expects the show to have an average ticket price of $36.297 Assume, including 25 percent comp tickets, the show is expected to be a sell-out. C) Independent of (a) and (b), what is the maximum per capita fee that the Pavilion can pay the KFBS Allstars, whose concert is expected to be a sellout, if the Pavilion wants to earn $ 180,000 after 20 percent tax from an average ticket price of $33 per ticket? (zem comp tickets can be assumed) 5. Examining the Concessions contract - see exhibit 3 where costs for concessions for all events in 2020 were reported along with the attendance at each of the events. a) Using regression estimate the cost equation for concessions for 2020. b) Compare the results of variable and fixed costs as indicated in your equation with the contract for concessions in Exhibit 2. C) Make a recommendation as to whether Coastal should handle concessions in house (results for 2020) or outsource to the provider in the contract shown in Exhibit 2. b) Compare the results of variable and fixed costs as indicated in your equation with the contract for concessions in Exhibit 2. C) Make a recommendation as to whether Coastal should handle concessions in house (results for 2020) or outsource to the provider in the contract shown in Exhibit 2. 6. Problems with the parking - in 2022 Coastal finds out that its parking lot needs extensive repairs. It can be done in sections so that only one quarter will be unusable at a time but must find a solution for for additional parking for big concerts. They find two possibilities - one is close by so that event goers can walk to the venue easily - this can be rented for $2,000 for each event needed but one month notice must be given to rent it. A second option is further away and is only available to rent for the entire year for $15,000. This location would require the operating of transportation between the site and the venue when used for events. A local transportation company is willing to provide shuttle service to and from the venue for $400 per event. a) Analyze the costs and profitability between the two parking options if Coastal continues to charge for parking consistent with Exhibit 2. You will need to make some assumptions so make those clear. b) How would your analysis change if you could rent out spots in the further parking lot for hourly parking when it is not being used for events? Explain what information you would need and how you would apply it. c) Besides your estimated costs, what other considerations might you use in making this decision? The Pavilion can accommodate 20.000 fans with 7,000 reserved seats directly in front of the stage (covered seating in sections I through 9 and VIP seating) and another 13,000 on the spacious lawn. It has 78 theater-style VIP boxes that can accommodate 4, 6, 8 people. In addition to positioning for prime viewing, patrons in VIP boxes also enjoy amenities such as wait staff service at their seats, personalized parking, and exclusive membership to the VIP Bar & Grill. Directly in front of sections 4, 5, 8, and 9 is seating with an elevated floor that provides excellent views of the stree States) Focus The Pavilion can accommodate 20,000 fans with 7,000 reserved seats directly in front of the stage (covered seating in sections I through 9 and VIP seating) and another 13,000 on the spacious lawn. It has 78 theater-style VIP boxes that can accommodate 4, 6, or 8 people. In addition to positioning for prime viewing, patrons in VIP hoxes also enjoy amenities such as wait staff service at their seats, personalized parking, and exclusive membership to the VIP Bar & Grill. Directly in front of sections 4, 5, 8, and is scating with an elevated floor that provides excellent views of the stage for patrons with disabilities and additional seating for the hearing or visually impaired Lawn Seating STAGE Reserved. Covered Seating + Exhibit 2 Flash Report for the KFBS Allstars Concert 7 07/31/22 Event Month Event Date Projected Sales A Seats B Seats C Seats D Seats Total Ticket Price A Seats B Seats C Seats D Seats 2,978 2,945 1,856 881 8,660 $ S $ $ 58.00 35.00 16.00 10.00 Projected Revenue Average Ticket Price $ 314,305.00 S 36.29 Guaranteed Talent Cost $ 260,635.00 10,825 Attendance (includes Comp) Other Ticket Revenue Per ticket facility charge Per ticket service charge $ $ 3.50 2.00 Projected Revenue from ticketing Per sold ticket $361,935.00 $ 41.79 Ancillary Revenues (per all attendees including comps) ates) Parking Concessions Merchandise ||| $ $ $ $ 6.00 9.00 4.00 19.00 $ 0.60 Per attendee Ancillary Contract Terms Parking S per 17,000.00 event Concession $ per 40,000.00 event Merchandise per 22,000.00 event $ 2.70 Per attendee $ 0.80 Per attendee Fixed Cost per Event Production Operations Advertising Total $ $ $ $ 24,000 21,600 25,000 70,600 Other Variable Costs including Insurance and supplies $3.00 Per attendee Event 1 2 3 4 5 6 7 Exhibit 3 Attendance 7,240 13,323 17,126 13,268 6,132 15,608 17,280 Cost $ $ $ $ $ $ $ 58,475 79,457 80,898 72,912 54,080 75,544 77,808 ited States) 7 8 9 10 11 12 13 14 15 16 17 17,280 11,883 7,878 13,048 6,125 10,525 13,594 8,771 11,485 7,119 9,002 $ S S $ S $ $ $ S $ $ 77,808 70,153 61,529 62,310 50,917 68,818 66,779 56,489 62,002 60,096 57,992 | | 18 19 20 21 22 23 24 25 26 27 9,196 14,246 13,921 7,940 13,662 17,019 11,593 9,898 11,862 15 729 $ $ $ S S $ $ $ S 55,506 76,828 79,639 63,089 73,075 74,361 66,108 61,427 61,681 83 141 s WI 28 29 30 31 32 33 34 35 36 37 38 39 40 41 42 43 44 45 46 47 48 49 50 51 52 53 54 55 56 57 58 12,038 13,053 10,157 9,798 16,007 13,895 9,714 9,171 17,366 6,064 16, 121 6,434 8,393 16,255 14,031 9,586 11,475 14,213 11,816 11,528 7,448 15,536 10,964 8,768 8,886 8,855 16,148 7,432 10,504 9,316 14,221 S $ $ $ S S S S $ $ S $ $ S $ S $ $ $ $ $ S S S $ S $ S $ $ $ 65,542 71,967 62,296 61,689 82,588 80,288 60,724 60,652 78,845 53,922 79,922 51,503 59,659 77,314 81,422 62,047 61,963 71,780 72,673 62,123 63,283 74,806 72,415 55,757 59,360 61,386 74,258 58,470 63,619 57,829 76,648 tes) 59 60 61 62 | SES 63 64 65 66 67 68 69 70 17,417 17,609 7,108 7,287 6,557 15,556 16,205 6,480 12,368 6,200 12,790 17,778 15,138 8,232 12,695 6,204 12,513 16,399 8,567 15,061 16,549 8,055 $ $ $ $ $ $ $ $ $ $ $ $ $ $ $ $ $ $ $ $ $ $ 78,122 91,338 50,122 55,802 55,036 84,437 75,557 56,378 64,742 53,745 71,682 88,626 70,751 59,622 72,990 53,210 68,708 80,087 62,368 80,878 85,110 54,129 71 SES | E5-5-4645-5-6-3-591ES-ES-SS-ES-45 72 73 74 75 76 77 78 79 80 Revenues, Costs, and Flash Report for the KFBS Allstars Concert Exhibit 2 is a mock flash report for an illustrative fixed-fee show, the KFBS Allstars. A flash report is a projection of costs and revenues for a scheduled concert. The guarantee/talent cost ($260,635) is the amount the KFBS Allstars are guaranteed for the show. Projected sales is the number of projected paying ticket holders, while the "drop count" is total attendance, including both paid and comp tickets. Setting ticket price is often done together with the performer, taking into consideration Live Nation's national and regional pricing policies, prices of comparable venues, and the Pavilion's desired profit for the concert. Pam uses the flash report to plan potential concerts and to evaluate the success of concerts already presented. The report shows the variety of revenues and costs for a concert, and the projected profit for the concert. The flash report projects total revenues including ticket sales, parking, food, and merchandise based on per capita (drop count) rates. Ticket sales are in four ticket categories: A seats and B seats are regular price tickets for the reserved and lawn seating sections respectively; C and D seats are promotional (discount) price tickets for reserved and lawn seating, respectively. Other revenues include per capita facility charges paid by the sponsoring corporation for naming rights (based on paid ticket holders) and a per capita service charge paid by the performer for food, transportation, and other services. Not included are the annual lease payments for VIP seats at $10,000 per year. Patrons to the VIP seats also have to pay the ticket price of A-level seats. Reserved and lawn seating areas are shown in Exhibit 1. The parking, food concession, and merchandise operations are outsourced to other service providers, so the direct costs for parking, merchandise and concessions are determined based on contracts with the service providers that include both a percentage (10 percent) of applicable revenues and a fixed fee. Operating expenses include an allocation of the total of fixed production and operations costs for the season, the advertising expenses for the KFBS Allstars event and other variable expenses. These are then added to the direct costs for concessions, merchandise, parking, and insurance to determine total operating expenses. REQUIRED 1. How would you describe the competitive strategy of the Coastal Credit Union Music Park? Given the firm's strategy, what are the critical success factors for the Pavilion to achieve its goal of continuous annual growth in operating income? The competitive strategy of Pavilion is to create a competitive advantage for itself by offering art- like acoustics and video differentiating in its outdoor concert venues. The most important quantitative measures for the Pavilion to track and manage if it is to achieve its goal of continuous annual growth in operating income is based on advertising media, customer satisfaction, and parking. These quantitative measures will help in maximizing ticket sales. 2. Complete two selected cost-volume-profit analyses for the show illustrated in Exhibit 2, the KFBS Allstars (Think of there being two products - Regular Tickets and Comp Tickets): a) How many tickets must the Coastal Credit Union Music Park sell to break even for KFBS? b) How many tickets must Coastal sell to earn $30,000 operating income after taxes, assuming a 20 percent tax rate? 3. What should be the average ticket price for the KFBS concert if the fixed-pay fee is $300,000 and the Music Park expects to sell 7,000 tickets and wants to earn $30,000 after 20 percent in taxes? 4. Negotiating the fee for the KFBS Allstars: fixed-pay or per capita contracts: a) What is the maximum fixed fee that the Pavilion can pay the KFBS Allstars if the Pavilion wants to earn $45,000 after 20 percent tax and expects the show to have an average ticket price of $36.29? Assume the show is expected to draw 7,000 paying ticket holders. b) What is the maximum fixed fee that the Pavilion can pay the KFBS Allstars if the Pavilion wants to earn $45,000 after 20 percent tax and expects the show to have an average ticket price of $36.297 Assume, including 25 percent comp tickets, the show is expected to be a sell-out. C) Independent of (a) and (b), what is the maximum per capita fee that the Pavilion can pay the KFBS Allstars, whose concert is expected to be a sellout, if the Pavilion wants to earn $ 180,000 after 20 percent tax from an average ticket price of $33 per ticket? (zem comp tickets can be assumed) 5. Examining the Concessions contract - see exhibit 3 where costs for concessions for all events in 2020 were reported along with the attendance at each of the events. a) Using regression estimate the cost equation for concessions for 2020. b) Compare the results of variable and fixed costs as indicated in your equation with the contract for concessions in Exhibit 2. C) Make a recommendation as to whether Coastal should handle concessions in house (results for 2020) or outsource to the provider in the contract shown in Exhibit 2. b) Compare the results of variable and fixed costs as indicated in your equation with the contract for concessions in Exhibit 2. C) Make a recommendation as to whether Coastal should handle concessions in house (results for 2020) or outsource to the provider in the contract shown in Exhibit 2. 6. Problems with the parking - in 2022 Coastal finds out that its parking lot needs extensive repairs. It can be done in sections so that only one quarter will be unusable at a time but must find a solution for for additional parking for big concerts. They find two possibilities - one is close by so that event goers can walk to the venue easily - this can be rented for $2,000 for each event needed but one month notice must be given to rent it. A second option is further away and is only available to rent for the entire year for $15,000. This location would require the operating of transportation between the site and the venue when used for events. A local transportation company is willing to provide shuttle service to and from the venue for $400 per event. a) Analyze the costs and profitability between the two parking options if Coastal continues to charge for parking consistent with Exhibit 2. You will need to make some assumptions so make those clear. b) How would your analysis change if you could rent out spots in the further parking lot for hourly parking when it is not being used for events? Explain what information you would need and how you would apply it. c) Besides your estimated costs, what other considerations might you use in making this decision? The Pavilion can accommodate 20.000 fans with 7,000 reserved seats directly in front of the stage (covered seating in sections I through 9 and VIP seating) and another 13,000 on the spacious lawn. It has 78 theater-style VIP boxes that can accommodate 4, 6, 8 people. In addition to positioning for prime viewing, patrons in VIP boxes also enjoy amenities such as wait staff service at their seats, personalized parking, and exclusive membership to the VIP Bar & Grill. Directly in front of sections 4, 5, 8, and 9 is seating with an elevated floor that provides excellent views of the stree States) Focus The Pavilion can accommodate 20,000 fans with 7,000 reserved seats directly in front of the stage (covered seating in sections I through 9 and VIP seating) and another 13,000 on the spacious lawn. It has 78 theater-style VIP boxes that can accommodate 4, 6, or 8 people. In addition to positioning for prime viewing, patrons in VIP hoxes also enjoy amenities such as wait staff service at their seats, personalized parking, and exclusive membership to the VIP Bar & Grill. Directly in front of sections 4, 5, 8, and is scating with an elevated floor that provides excellent views of the stage for patrons with disabilities and additional seating for the hearing or visually impaired Lawn Seating STAGE Reserved. Covered Seating + Exhibit 2 Flash Report for the KFBS Allstars Concert 7 07/31/22 Event Month Event Date Projected Sales A Seats B Seats C Seats D Seats Total Ticket Price A Seats B Seats C Seats D Seats 2,978 2,945 1,856 881 8,660 $ S $ $ 58.00 35.00 16.00 10.00 Projected Revenue Average Ticket Price $ 314,305.00 S 36.29 Guaranteed Talent Cost $ 260,635.00 10,825 Attendance (includes Comp) Other Ticket Revenue Per ticket facility charge Per ticket service charge $ $ 3.50 2.00 Projected Revenue from ticketing Per sold ticket $361,935.00 $ 41.79 Ancillary Revenues (per all attendees including comps) ates) Parking Concessions Merchandise ||| $ $ $ $ 6.00 9.00 4.00 19.00 $ 0.60 Per attendee Ancillary Contract Terms Parking S per 17,000.00 event Concession $ per 40,000.00 event Merchandise per 22,000.00 event $ 2.70 Per attendee $ 0.80 Per attendee Fixed Cost per Event Production Operations Advertising Total $ $ $ $ 24,000 21,600 25,000 70,600 Other Variable Costs including Insurance and supplies $3.00 Per attendee Event 1 2 3 4 5 6 7 Exhibit 3 Attendance 7,240 13,323 17,126 13,268 6,132 15,608 17,280 Cost $ $ $ $ $ $ $ 58,475 79,457 80,898 72,912 54,080 75,544 77,808 ited States) 7 8 9 10 11 12 13 14 15 16 17 17,280 11,883 7,878 13,048 6,125 10,525 13,594 8,771 11,485 7,119 9,002 $ S S $ S $ $ $ S $ $ 77,808 70,153 61,529 62,310 50,917 68,818 66,779 56,489 62,002 60,096 57,992 | | 18 19 20 21 22 23 24 25 26 27 9,196 14,246 13,921 7,940 13,662 17,019 11,593 9,898 11,862 15 729 $ $ $ S S $ $ $ S 55,506 76,828 79,639 63,089 73,075 74,361 66,108 61,427 61,681 83 141 s WI 28 29 30 31 32 33 34 35 36 37 38 39 40 41 42 43 44 45 46 47 48 49 50 51 52 53 54 55 56 57 58 12,038 13,053 10,157 9,798 16,007 13,895 9,714 9,171 17,366 6,064 16, 121 6,434 8,393 16,255 14,031 9,586 11,475 14,213 11,816 11,528 7,448 15,536 10,964 8,768 8,886 8,855 16,148 7,432 10,504 9,316 14,221 S $ $ $ S S S S $ $ S $ $ S $ S $ $ $ $ $ S S S $ S $ S $ $ $ 65,542 71,967 62,296 61,689 82,588 80,288 60,724 60,652 78,845 53,922 79,922 51,503 59,659 77,314 81,422 62,047 61,963 71,780 72,673 62,123 63,283 74,806 72,415 55,757 59,360 61,386 74,258 58,470 63,619 57,829 76,648 tes) 59 60 61 62 | SES 63 64 65 66 67 68 69 70 17,417 17,609 7,108 7,287 6,557 15,556 16,205 6,480 12,368 6,200 12,790 17,778 15,138 8,232 12,695 6,204 12,513 16,399 8,567 15,061 16,549 8,055 $ $ $ $ $ $ $ $ $ $ $ $ $ $ $ $ $ $ $ $ $ $ 78,122 91,338 50,122 55,802 55,036 84,437 75,557 56,378 64,742 53,745 71,682 88,626 70,751 59,622 72,990 53,210 68,708 80,087 62,368 80,878 85,110 54,129 71 SES | E5-5-4645-5-6-3-591ES-ES-SS-ES-45 72 73 74 75 76 77 78 79 80
Step by Step Solution
There are 3 Steps involved in it
Get step-by-step solutions from verified subject matter experts
