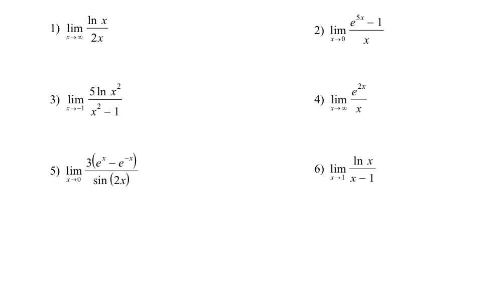
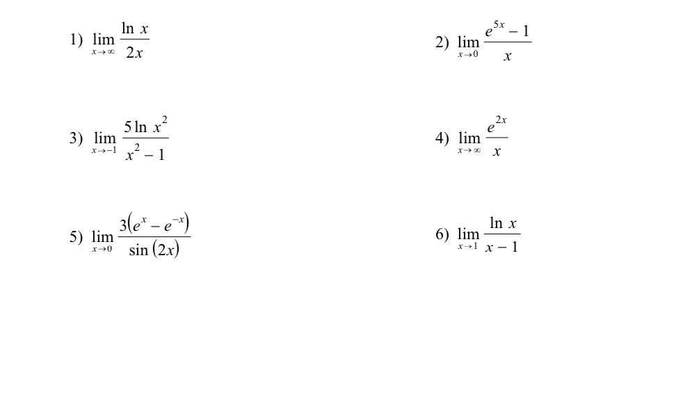
Question: please answer and show work In x l) lim 2 5 Inx 3) lim 3(ex - e-x) 5) lim sin (2x) . e5x-1 2) 11m

please answer and show work

In x l) lim 2 5 Inx 3) lim 3(ex - e-x) 5) lim sin (2x) . e5x-1 2) 11m 2x 4) 11m In x 6) lim
Step by Step Solution
There are 3 Steps involved in it
Get step-by-step solutions from verified subject matter experts
