Question: please answer and show work Evaluate each limit. Show all work and attach your work to your scantron. 1) lim -2x 2) lim - V-2x
please answer and show work

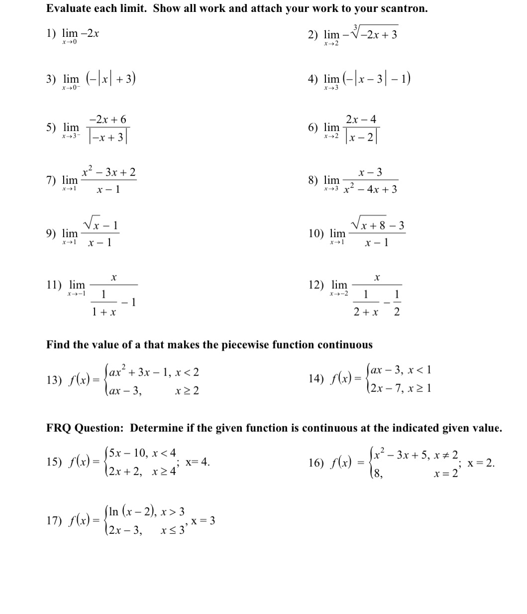
Evaluate each limit. Show all work and attach your work to your scantron. 1) lim -2x 2) lim - V-2x + 3 x- 2 3) lim (- x + 3) x-+0- 4) lim (- x - 3 - 1) -2x + 6 5) lim 2x - 4 x -+3- 1-x+ 3 6) lim * - 2 x - 2 7) lim x- - 3x+ 2 x - 3 8) lim - x-1 x+3 x- - 4x + 3 Vx - 1 9) lim Vx+8 -3 x-1 10) lim x - 1 x - 1 X 11) lim X *+-1 1 12) lim x--2 1 1 + x 2+x 2 Find the value of a that makes the piecewise function continuous 13 ) f (x ) = Jax + 3x - 1, x 3 (2x - 3, x53) X=3
Step by Step Solution
There are 3 Steps involved in it
Get step-by-step solutions from verified subject matter experts
