Question: Please answer entire question and all the bottom. Please explain The project shown below has crash costs as shown in the table, a critical path

Please answer entire question and all the bottom. Please explain

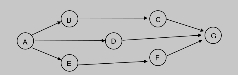
The project shown below has crash costs as shown in the table, a critical path of A-B-C-G, a project duration of 26 days, and total direct normal costs of $41,000. Assume the total indirect cost for the project is $30,000 and there is a savings to the firm of $1,000 per day reduced. What is the optimum cost-time schedule for the project? (10 points as indicated below)

Please answer entire question and all the bottom. Please explain The project

Activity Crash Cost (slope) Maximum Crash Time

Normal Time

(days)

Normal Cost
A $10,000 1 8 $10,000
B 700 3 4 6,000
C 1,200 2 9 7,000
D 500 5 9 5,000
E 200 1 6 2,600
F 1,100 2 6 6,100
G 600 1 5 4,300

A. To compress the time from 26 to 25 days, which activity(s) should be crashed? (1 point)

What is the adjusted total cost at 25 days? (2 points)

B. To compress the time from 25 to 24 days, which activity(s) should be crashed? (1 point)

What is the adjusted total cost at 24 days? (2 points)

C. What is the optimal cost-time schedule for the network?

Time period (2 points)

Total cost (2 points)

Step by Step Solution

There are 3 Steps involved in it

1 Expert Approved Answer
Step: 1 Unlock blur-text-image
Question Has Been Solved by an Expert!

Get step-by-step solutions from verified subject matter experts

Step: 2 Unlock
Step: 3 Unlock

Students Have Also Explored These Related General Management Questions!