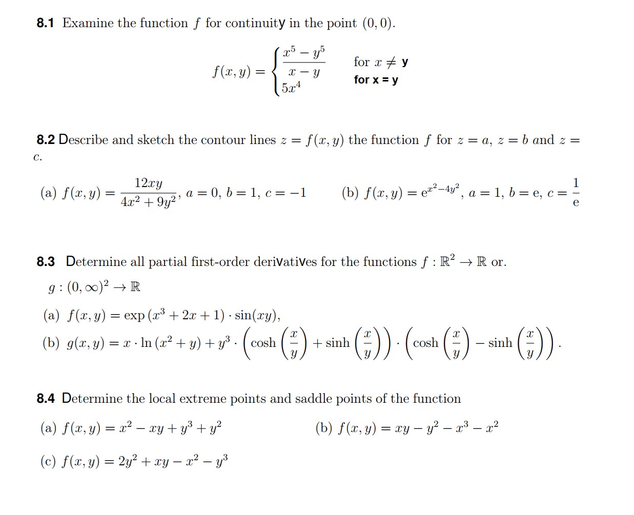
Question: please answer just 8.1 and 8.2 8.1 Examine the function f for continuity in the point (0, 0). po . - yo for x #
please answer just 8.1 and 8.2

Step by Step Solution
There are 3 Steps involved in it
1 Expert Approved Answer
Step: 1 Unlock
Question Has Been Solved by an Expert!
Get step-by-step solutions from verified subject matter experts
Step: 2 Unlock
Step: 3 Unlock
