Question: please answer. needed asap. please provide table and detailed solutions, excel formula. thank you so much 6:22 Done A20451 Building Spreadsheets for Acco... Task 3

please answer. needed asap. please provide table and detailed solutions, excel formula. thank you so much

please answer. needed asap. please provide tableplease answer. needed asap. please provide tableplease answer. needed asap. please provide table
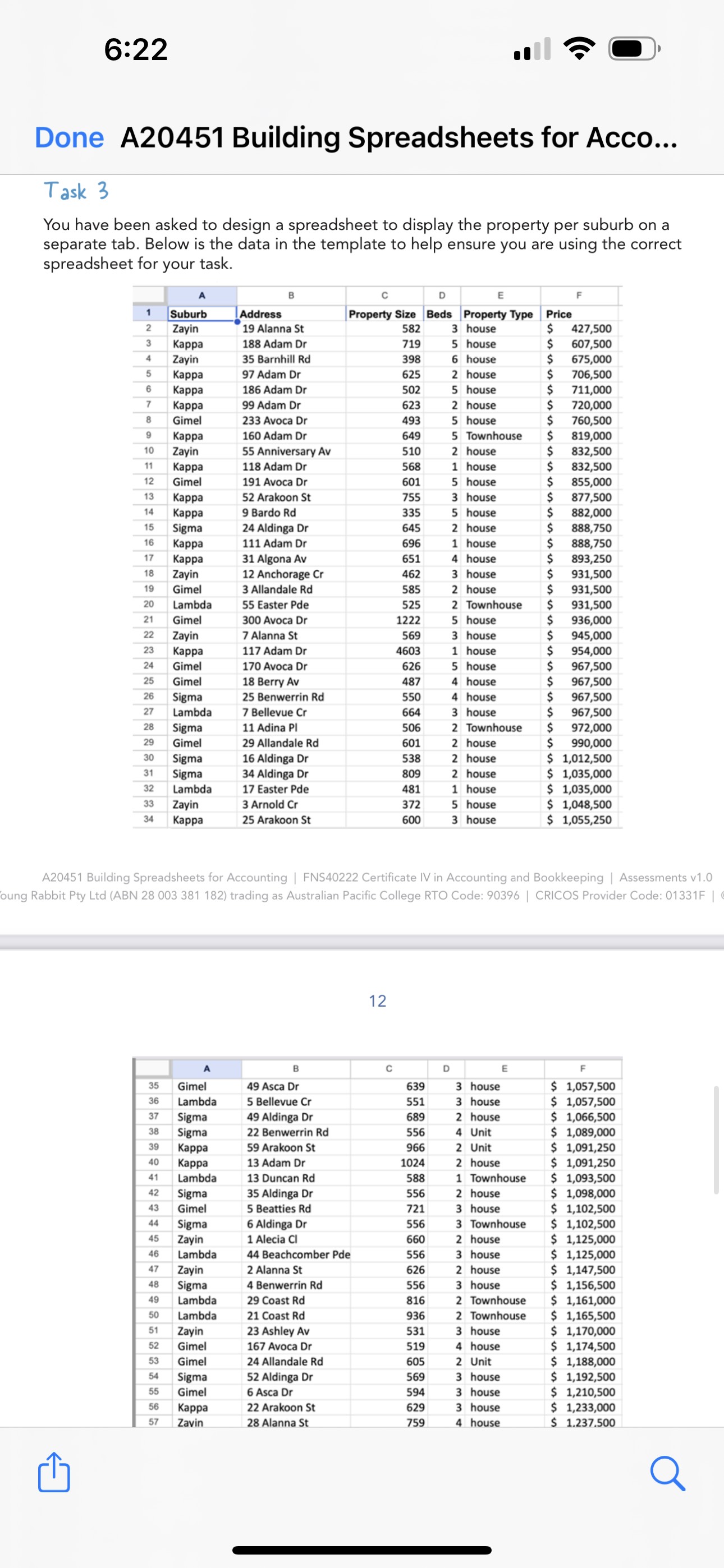
6:22 Done A20451 Building Spreadsheets for Acco... Task 3 You have been asked to design a spreadsheet to display the property per suburb on a separate tab. Below is the data in the template to help ensure you are using the correct spreadsheet for your task. C Suburb Address Property Size Beds Property Type |Price Zayir 19 Alanna St 582 3 house 427,500 Kappa 719 5 house 607,500 188 Adam Dr 6 house 675,000 Zayin 35 Barnhill Rd 398 Kappa 97 Adam Dr 625 2 house 706,500 Kappa 186 Adam Dr 502 5 house 711,000 720,000 Kappa 99 Adam Dr 623 2 house 760,500 Gimel 233 Avoca Dr 493 5 house 9 Kappa 160 Adam Dr 649 5 Townhouse 819,000 510 2 house 832,500 10 Zayin 55 Anniversary Av 568 1 house 832,500 11 Kappa 118 Adam Dr 601 5 house 855,000 12 Gimel 191 Avoca Dr 877,500 13 Kappa 52 Arakoon St 755 3 house 882,000 14 Kappa 9 Bardo Rd 335 5 house 888,750 15 Sigma 24 Aldinga Dr 645 2 house 111 Adam Dr 696 1 house 888,750 16 Kappa 893,250 17 Kappa 31 Algona Av 651 4 house 18 462 3 house Zayin 12 Anchorage Cr 931,500 19 Gimel 3 Allandale Rd 585 2 931,500 931,500 20 Lambda 55 Easter Pde 525 2 Townhouse 936,000 21 Gimel 300 Avoca Dr 1222 house 22 Zayin 7 Alanna St 569 3 house 945,000 117 Adam Dr 4603 1 house 954,000 23 Kappa 24 Gimel 170 Avoca Dr 626 5 house 967,500 25 487 4 house 967,500 Gimel 18 Berry Av 26 Sigma 25 Benwerrin Rd 550 4 house 967,500 7 Bellevue Cr 664 3 house 967,500 27 Lambda 2 Townhouse 972,000 28 Sigma 11 Adina PI 506 990,000 29 Gimel 29 Allandale Rd 601 house 1,012,500 30 Sigma 16 Aldinga Dr 538 2 house 31 34 Aldinga Dr 809 2 house 1,035,000 Sigma 1,035,000 32 Lambda 17 Easter Pde 481 1 house 33 Zayin 3 Arnold Cr 372 5 house $ 1,048,500 34 Kappa 25 Arakoon St 600 3 house S 1,055,250 A20451 Building Spreadsheets for Accounting | FNS40222 Certificate IV in Accounting and Bookkeeping | Assessments v1.0 oung Rabbit Pty Ltd (ABN 28 003 381 182) trading as Australian Pacific College RTO Code: 90396 | CRICOS Provider Code: 01331F | 12 C D 639 3 house $ 1,057,500 35 Gimel 49 Asca Dr 36 Lambda 5 Bellevue Cr 551 3 house 1,057,500 37 Sigma 49 Aldinga Dr 689 2 house $ 1,066,500 38 Sigma 22 Benwerrin Rd 556 4 Unit $ 1,089,000 39 966 Kappa 59 Arakoon St 2 Unit 1,091,250 Kappa 13 Adam Dr 1024 house 1,091,250 40 13 Duncan Rd 588 1 Townhouse 1,093,500 41 Lambda 42 Sigma 35 Aldinga Dr 556 2 house 1,098,000 5 Beatties Rd 721 3 house 1,102,500 43 Gimel 1,102,500 44 Sigma 6 Aldinga Dr 556 3 Townhouse 1 Alecia CI 660 2 house 1,125,000 45 Zayin 1,125,000 46 Lambda 44 Beachcomber Pde 556 house 47 Zayin 2 Alanna St 626 2 house 1,147,500 556 3 house 1,156,500 48 Sigma 4 Benwerrin Rd 49 Lambda 29 Coast Rd 816 2 Townhouse 1,161,000 936 50 21 Coast Rd 2 Townhouse 1,165,500 Lambda 23 Ashley Av 531 3 house 1,170,000 51 Zayin 167 Avoca Dr 1,174,500 52 Gimel 519 4 house 1,188,000 53 Gimel 24 Allandale Rd 605 2 Unit 52 Aldinga Dr 569 3 house $ 1,192,500 54 Sigma 55 Gimel 6 Asca Dr 594 3 house $ 1,210,500 3 house Kappa 22 Arakoon St 629 $ 1,233,000 56 759 4 house $ 1.237.500 57 Zavin 28 Alanna St Q6:22 Done A20451 Building Spreadsheets for... Q 12 BD 12 of 14 B C D E 35 Gimel 49 Asca Dr 639 3 house 1,057,500 36 Lambda 5 Bellevue Cr 551 3 house $ 1,057,500 37 Sigma 49 Aldinga D 689 2 house S 1,066,500 38 Sigma 22 Benwerrin Rd 556 4 Unit $ 1,089,000 39 Kappa 59 Arakoon St 966 2 Unit 1,091,250 40 Kappa 13 Adam Dr 1024 2 house 1,091,250 41 Lambda 13 Duncan Rd 588 1 Townhouse 1,093,500 42 Sigma 35 Aldinga Dr 556 2 house 1,098,000 43 Gimel 5 Beatties Rd 721 3 house 1,102,500 44 Sigma 6 Aldinga Dr 556 3 Townhouse 1,102,500 45 Zayin 1 Alecia CI 660 2 house 1,125,000 46 Lambda 44 Beachcomber Pde 556 3 house 1,125,000 47 Zayin 2 Alanna St 626 2 house 1,147,500 48 Sigma 4 Benwerrin Rd 556 3 house 1,156,500 49 Lambda 29 Coast Rd 816 2 Townhouse 1,161,000 50 Lambda 21 Coast Rd 936 2 Townhouse 1,165,500 51 Zayin 23 Ashley Av 531 3 house 1,170,000 52 Gimel 167 Avoca Dr 519 4 house 1,174,500 53 Gimel 24 Allandale Rd 605 2 Unit 1,188,000 54 Sigma 52 Aldinga Dr 569 3 house 1,192,500 55 Gimel 6 Asca Dr 594 3 house $ 1,210,500 56 Kappa 22 Arakoon St 629 3 house $ 1,233,000 57 Zayin 28 Alanna St 759 4 house 1,237,500 58 Zayin 25 Aspen Av 493 2 house 1,237,500 59 Lambda 6 Bellevue Cr 904 3 Unit 1,237,500 60 Gimel 19 Allandale Rd 605 2 house 1,246,500 61 Sigma 17 Benwerrin Rd 556 4 house 1,260,000 62 Lambda 21 Bellevue Cr 721 2 house 1,282,500 63 Sigma 23 Benwerrin Rd 664 4 house 1,318,500 64 Lambda 15 Francis Rd 550 house 1,323,000 65 Sigma 9 Barooga Rd 850 house 1,350,000 66 Zayin 15 Aspen Av 645 7 house 1,361,250 67 Lambda 7 Francis Rd 822 2 Unit 1,368,000 C D 68 Sigma 7 Aldinga Dr 556 2 house $ 1,372,500 69 Lambda 24 Beachcomber Pde 594 3 house $ 1,372,500 70 Zayin 4 Alexander Cl 643 4 house $ 1,390,500 71 Zayin 31 Ash S 512 4 house $ 1,395,000 72 Kappa 45 Arakoon St 1123 3 house $ 1,395,000 73 Lambda 23 Duncan Rd 531 house $ 1,395,000 74 Lambda 39 Easter Pde 696 2 house $ 1,433,250 75 Gimel 4 Bayside Dr 588 2 house $ 1,440,000 76 Lambda 13 Francis Rd 651 3 house 1,440,000 77 Zayin 22 Fredrick St 531 4 house 1,453,500 78 Zayin 1 Aspen Av 531 house $ 1,467,000 79 Zayin 8 Anchorage Cr 462 3 house $ 1,478,250 80 Zayin 9 Auld St 683 1 house $ 1,552,500 81 Zayin 11 Auld St 683 house $ 1,552,500 82 Zayin 13 Auld St 658 5 house $ 1,552,500 83 Sigma 33 Benwerrin Rd 506 4 house $ 1,597,500 84 Lambda 32 Beachcomber Pde 550 3 house $ 1,777,500 85 Gimel 68 Asca Dr 683 3 house 1,795,500 86 Zayin 51 Ashley Av 604 5 house $ 1,800,000 87 Gimel 30 Asca Dr 854 3 house $ 1,935,000 88 Lambda 15 Elgata Av 734 2 house $ 2,025,000 89 Lambda 26 Bareena Av 468 3 Unit 2,070,000 90 Zayin 24 Barnhill Rd 778 5 house $ 2,655,000 91 Theta 498 The Entrance Rd 659 4 house $ 2,655,000 92 Zayin 40 Barnhill Rd 582 7 house $ 2,781,000 93 Lambda 48 Bellevue Cr 850 2 house 2,925,000 94 Zayin 48 Barnhill Rd 822 2 Townhouse $ 3,015,000 95 Theta 125 Serpentine Rd 2000 4 house $ 3,015,000 96 Lambda 4 Bareena Av 531 5 house $ 4,342,500 A20451 Building Spreadsheets for Accounting | FNS40222 Certificate IV in Accounting and Bookkeeping | Assessments v1.0 oung Rabbit Pty Ltd (ABN 28 003 381 182) trading as Australian Pacific College RTO Code: 90396 | CRICOS Provider Code: 01331F | 13 Required: Use the data and template provided on the "Property Sales.xIsx", and perform the following tasks:13 Required: Use the data and template provided on the \"Property Sales.xlsx", and perform the following tasks: 1. Sort the data into sales per suburb and place it in separate tabs for each suburb. Rename the worksheets to the name of each suburb. Use a function to Count the number of sales in each suburb. Add a tab called \"Summary\" and create a table of the number of sales of each suburb 9199'.\" Save the spreadsheet as "Student Name_Student No_A20451 Building Spreadsheets for Accounting_A2_Task 3_Property Sales". END

Step by Step Solution

There are 3 Steps involved in it

1 Expert Approved Answer
Step: 1 Unlock blur-text-image
Question Has Been Solved by an Expert!

Get step-by-step solutions from verified subject matter experts

Step: 2 Unlock
Step: 3 Unlock

Students Have Also Explored These Related Finance Questions!