Question: PLEASE ANSWER ONLY D. WILL RATE The accompanying data set contains three numerical variables, x,, x2. and X3, and one categorical variable, X4. a. For




PLEASE ANSWER ONLY D. WILL RATE
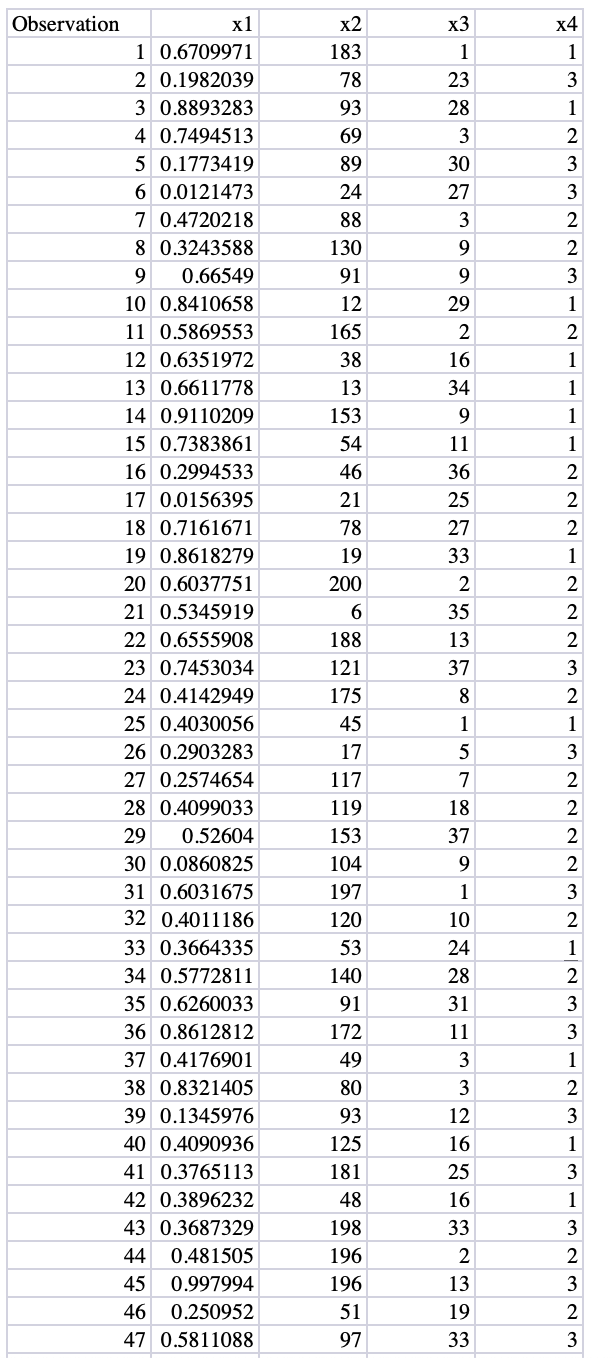
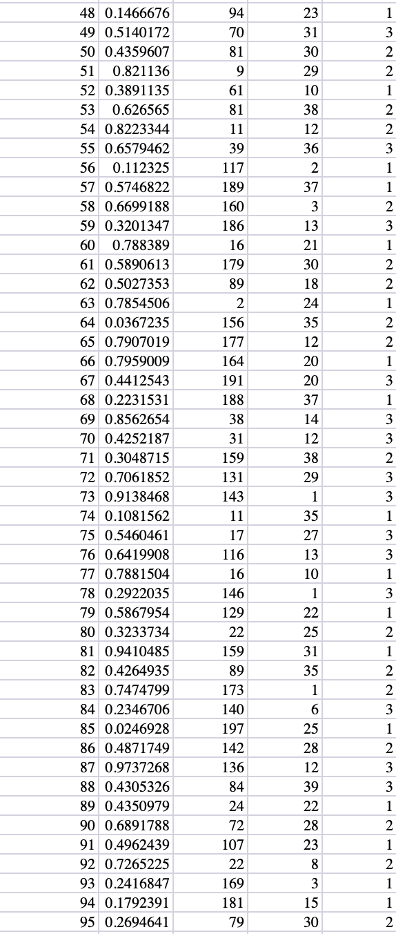
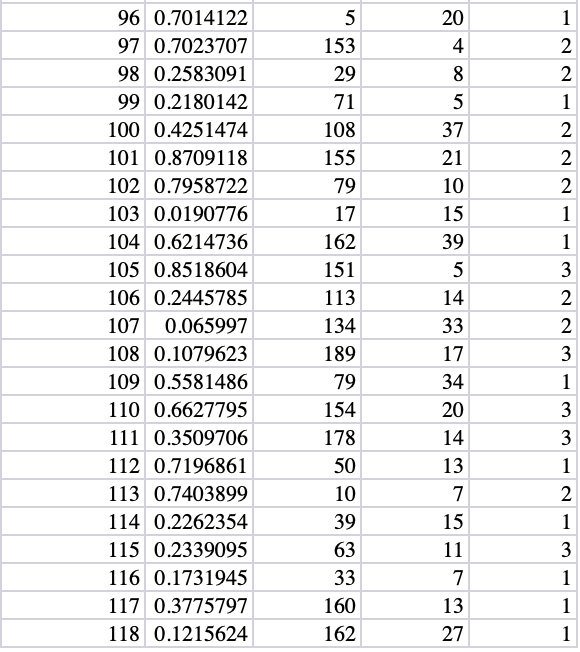
The accompanying data set contains three numerical variables, x,, x2. and X3, and one categorical variable, X4. a. For X4, how many of the observations are less than three? b. Sort x,. X2. X3, and then X4 all In ascending order. After the variables have been sorted, what is the first observation for x,. X2. X3, and x4? C. Sort x,. X2. X3, and then X4 all in descending order. After the variables have been sorted, what is the first observation for x,. X2. X3, and x4? d. How many missing values are there In x1. x2. X3, and X4? e. How many observations are there in each category in x4? x3 x4 1 3 1 2 3 1 23 28 3 30 27 3 9 9 29 3 2 2 3 1 2 2 1 16 34 9 1 1 1 Observation x1 1 0.6709971 2 0.1982039 3 0.8893283 4 0.7494513 5 0.1773419 6 0.0121473 7 0.4720218 8 0.3243588 9 0.66549 10 0.8410658 11 0.5869553 12 0.6351972 13 0.6611778 14 0.9110209 15 0.7383861 16 0.2994533 17 0.0156395 18 0.7161671 19 0.8618279 20 0.6037751 21 0.5345919 22 0.6555908 23 0.7453034 24 0.4142949 25 0.4030056 26 0.2903283 27 0.2574654 28 0.4099033 29 0.52604 30 0.0860825 31 0.6031675 32 0.4011186 33 0.3664335 34 0.5772811 35 0.6260033 36 0.8612812 37 0.4176901 38 0.8321405 39 0.1345976 40 0.4090936 41 0.3765113 42 0.3896232 43 0.3687329 44 0.481505 45 0.997994 46 0.250952 47 0.5811088 22212223 x2 183 78 93 69 89 24 88 130 91 12 165 38 13 153 54 46 21 78 19 200 6 188 121 175 45 17 117 119 153 104 197 120 53 140 91 172 49 80 93 125 181 48 198 196 196 51 97 11 36 25 27 33 2 35 13 37 8 1 5 7 2 1 3 18 37 9 2222321-233 1 10 24 28 31 11 3 3 12 16 25 16 33 2 13 19 33 1 2 3 1 3 1 3 2 3 2 3 23 31 30 29 10 38 12 36 2 37 3 13 21 30 48 0.1466676 49 0.5140172 50 0.4359607 51 0.821136 52 0.3891135 53 0.626565 54 0.8223344 55 0.6579462 56 0.112325 57 0.5746822 58 0.6699188 59 0.3201347 60 0.788389 61 0.5890613 62 0.5027353 63 0.7854506 64 0.0367235 65 0.7907019 66 0.7959009 67 0.4412543 68 0.2231531 69 0.8562654 70 0.4252187 71 0.3048715 72 0.7061852 73 0.9138468 74 0.1081562 75 0.5460461 76 0.6419908 77 0.7881504 78 0.2922035 79 0.5867954 80 0.3233734 81 0.9410485 82 0.4264935 83 0.7474799 84 0.2346706 85 0.0246928 86 0.4871749 87 0.9737268 88 0.4305326 89 0.4350979 90 0.6891788 91 0.4962439 92 0.7265225 93 0.2416847 94 0.1792391 95 0.2694641 94 70 81 9 61 81 11 39 117 189 160 186 16 179 89 2 156 177 164 191 188 38 31 159 131 143 11 17 116 16 146 129 22 159 89 173 140 197 142 136 84 24 72 107 22 169 181 79 18 24 35 12 20 20 37 14 12 38 29 1 35 27 13 10 1 22 25 31 35 1 6 25 1 3 2 2 1 2 2 3 1 1 2 3 1 2 2 1 2 2 1 3 1 3 3 2 3 3 1 3 3 1 3 1 28 12 39 22 28 23 8 3 15 30 2 1 2 2 3 1 2 3 3 1 2 1 2 1 1 2 1 96 0.7014122 97 0.7023707 98 0.2583091 99 0.2180142 100 0.4251474 101 0.8709118 102 0.7958722 103 0.0190776 104 0.6214736 105 0.8518604 106 0.2445785 107 0.065997 108 0.1079623 109 0.5581486 110 0.6627795 111 0.3509706 112 0.7196861 113 0.7403899 114 0.2262354 115 0.2339095 116 0.1731945 117 0.3775797 118 0.1215624 5 153 29 71 108 155 79 17 162 151 113 134 189 79 154 178 50 10 39 63 33 160 162 20 4 8 5 37 21 10 15 39 5 14 33 17 34 5 2 2 1 2 2 2 1 1 3 2 2 3 1 3 20 14 13 7 15 11 7 13 27 3 1 2 1 3 1 1 1Step by Step Solution
There are 3 Steps involved in it
1 Expert Approved Answer
Step: 1 Unlock
Question Has Been Solved by an Expert!
Get step-by-step solutions from verified subject matter experts
Step: 2 Unlock
Step: 3 Unlock
