Question: Please Answer the following question For the three clusters identified in the accompanying Distance Matrix After Second Clustering table, find the average and standard deviations
Please Answer the following question


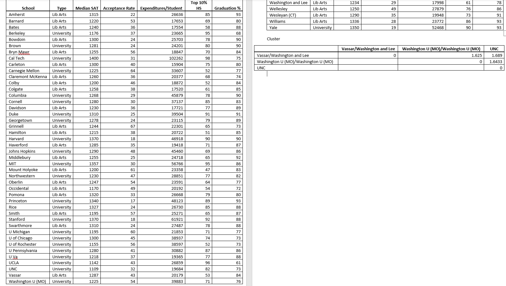
For the three clusters identified in the accompanying Distance Matrix After Second Clustering table, find the average and standard deviations of each numerical variable for the schools in each cluster and compare them with the average and standard deviation for the entire data set. Does the clustering show distinct differences among these clusters? Compute the overall mean and overall standard deviation for each numerical variable. Median Acceptance Expenditures/ Top 10% SAT Rate Student HS Graduation % Overall Mean Overall Stdev Compute the mean and standard deviation for each numerical variable for the first cluster, and then compute the differences between these values and the overall data's values for comparison. Clusters (Vassar/Washington Median Acceptance Expenditures/ Top 10% and Lee) SAT Rate Student HS Graduation % Overall Mean Overall Stdev Difference in Mean Difference in Stdev Compute the mean and standard deviation for each numerical variable for the Compute the mean and standard deviation for each numerical variable for the third second cluster, and then compute the differences between these values and the cluster, and then compute the differences between these values and the overall overall data's values for comparison. data's values for comparison. Clusters: Washington U Expenditu (MO)/Washington U Median Acceptance Expenditures/ Top 10% Clusters Median Acceptan res/ Top 10% Graduatio (MO SAT Rate Student HS Graduation % (UNC SAT ce Rate Student HS n% Overall Mean Overall Mean Overall Stdev Overall Stdev Difference in Mean Difference in Mean Difference in Stdev Difference in StdevTop 10% Washington and Lee | Lib Arts 1234 29 17998 61 78 School Type Median SAT | Acceptance Rate Expenditures/Student HS Graduation % Wellesley Lib Arts 1250 49 27879 76 86 Amherst Lib Arts 1315 22 26636 85 13 Wesleyan (CT) Lib Arts 1290 35 19948 73 91 Barnard Lib Arts 1220 53 17653 69 80 Williams Lib Arts 1336 28 23772 86 93 Bates Lib Arts 240 36 17554 58 88 Yale University 1350 19 52468 90 93 Berkeley University 1176 37 23665 95 68 Bowdoin Lib Arts 1300 24 25703 78 90 Cluster Brown University 1281 24 24201 80 90 Vassar/Washington and Lee Washington U (MO)/Washington U (MO) UNC Bryn Mawr Lib Arts .255 56 18847 70 84 Cal Tech University 0 1400 31 Vassar/Washington and Lee 102262 1.625 1.689 98 75 Lib Arts 15904 75 Washington U (MO)/Washington U (MO) 0 Carleton 1300 40 80 1.6433 Carnegie Mellon University 1225 64 3607 52 77 UNC 0 Claremont Mckenna Lib Arts 1260 36 20377 68 74 Colby Lib Arts 1200 46 18872 52 84 Colgate Lib Arts 1258 38 7520 61 85 Columbia University 1268 29 4587 78 90 Cornell University 280 30 37137 85 83 Davidson Lib Arts 230 36 17721 77 89 Duke University 1310 25 39504 91 91 Georgetown University 1278 24 23115 79 89 Grinnel Lib Arts 1244 67 22301 65 73 Hamilton Lib Arts 1215 38 20722 51 85 Harvard University 1370 18 46918 90 90 Haverford Lib Arts 1285 35 19418 71 87 Johns Hopkins University 1290 48 45460 69 86 Middlebury Lib Arts 1255 25 24718 65 92 MIT University 1357 30 56766 95 86 Mount Holyoke Lib Arts 1200 61 23358 47 83 Northwestern University .230 47 28851 77 82 Oberlin Lib Arts 1247 54 23591 64 77 Occidental Lib Arts 1170 49 20192 54 72 Pomona Lib Arts 1320 33 26668 79 80 Princeton University 1340 17 48123 89 93 Rice University 1327 24 26730 85 Smith Lib Arts 1195 57 25271 65 87 Stanford University 1370 18 61921 92 38 Swarthmore Lib Arts 1310 24 27487 78 38 U Michigan University 1195 60 21853 71 77 U of Chicago University 1300 45 38937 74 73 U of Rochester University 1155 56 38597 52 73 U Pennsylvania University 280 41 30882 87 86 U Va University 218 37 19365 77 88 UCLA University 1142 43 26859 96 61 UNC University 1109 32 19684 82 73 Vassa Lib Arts 1287 43 20179 53 84 Washington U (MO) | University 1225 54 39883 71 76
Step by Step Solution
There are 3 Steps involved in it
Get step-by-step solutions from verified subject matter experts
