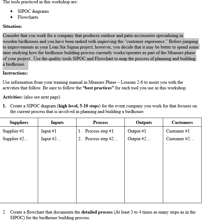
Question: Please answer the questions based on the situation highlighted above, this is my 4th time posting the same question. The tools practiced in this workshop
Please answer the questions based on the situation highlighted above, this is my 4th time posting the same question.
Step by Step Solution
There are 3 Steps involved in it
Get step-by-step solutions from verified subject matter experts
