Question: please answer this 2 2 1 2 1 2 2 1 2 89 90 91 92 93 94 95 96 97 98 99 100 101
please answer this





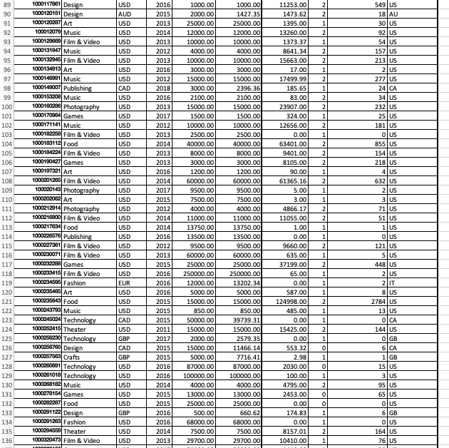
2 2 1 2 1 2 2 1 2 89 90 91 92 93 94 95 96 97 98 99 100 101 102 103 104 105 106 107 1 2016 2015 2013 2014 2013 2012 2013 2016 2012 2018 2016 2013 2017 2012 2013 2014 2013 2013 2016 2014 2017 2015 2 2 1 2 1 2 2 2 1 108 2 109 1000117961 Design 1000120151 Design 1000120207 Art 100012079 Music 1000120000 Film & Video 1000131947 Music 1000132945 Film & Video 1000134913 Art 1000146991 Music 1000149007 Publishing 1000153200 Music 1000160296 Photography 1000170904 Games 1000171141 Music 1000182256 Film & Video 1000183112 Food 1000184224 Film & Video 1000190427 Games 1000197321 Art 1000201268 Film & Video 10002014 Photography 1000202062 Art 1000212914 Photography 1000216800 Film & Video 1000217634 Food 1000226676 Publishing 1000227361 Film & Video 1000230071 Film & Video 1000232280 Games 1000233416 Film & Video 1000234596 Fashion 1000235466 Art 1000235643 Food 1000343793 Music 1000245024 Technology 1000252416 Theater 1000256230 Technology 1000256700 Design 1000257563 Crafts 1000260091 Technology 1000261010 Technology 1000262182 Music 1000270154 Games 1000282287 Food 1000291122 Design 1000201263 Fashion 1000294550 Theater 1000320473 Film & Video 110 111 112 113 114 115 116 2012 2014 USD AUD USD USD USD USD USD USD USD CAD USD USD USD USD USD USD USD USD USD USD USD USD USD USD USD USD USD USD USD USD EUR USD USD USD CAD USD GBP CAD GBP USD USD USD USD USD GBP USD USD USD 1000.00 2000.00 25000.00 12000.00 10000.00 4000.00 10000.00 3000.00 15000.00 3000.00 2100.00 15000.00 1500.00 10000.00 2500.00 40000.00 8000.00 3000.00 1200.00 60000.00 9500.00 7500.00 4000.00 11000.00 13750.00 13500.00 9500.00 60000.00 25000.00 250000.00 12000.00 5000.00 15000.00 850.00 50000.00 15000.00 2000.00 15000.00 5000.00 87000.00 100000.00 4000.00 13000.00 25000.00 500.00 68000.00 7500.00 29700.00 1000.00 1427.35 25000.00 12000.00 10000.00 4000.00 10000.00 3000.00 15000.00 2396.36 2100.00 15000.00 1500.00 10000.00 2500.00 40000.00 8000.00 3000.00 1200.00 60000.00 9500.00 7500.00 4000.00 11000.00 13750.00 13500.00 9500.00 60000.00 25000.00 250000.00 13202.34 5000.00 15000.00 850.00 39739.31 15000.00 2579.35 11466.14 7716.41 87000.00 100000.00 4000.00 13000.00 25000.00 660.62 68000.00 7500.00 29700.00 11253.00 1473.62 1395.00 13260.00 1373.37 8641.34 15663.00 17.00 17499.99 185.65 83.00 23907.00 324.00 12656.00 0.00 63401.00 9401.00 8105.00 90.00 61365.16 5.00 3.00 4866.17 11055.00 1.00 0.00 9660.00 635.00 37199.00 65.00 0.00 587.00 124998.00 485.00 0.00 15425.00 0.00 553.32 2.98 2030.00 100.00 4795.00 2453.00 0.00 174.83 0.00 8157.01 10410.00 1 1 2 2 1 1 2 549 US 18AU 30 US 92 US 54 US 157 US 213 US 2 US 277 US 24 CA 34 US 232 US 25 US 181 US o us 855 | US 154 US 218 US 4 US 632 US 2 US 3 US 71 US 51 US 1 US OUS 121 US 5 US 448 US 2 US 2 IT 8 US 2784 US 13 US O CA 144 US O GB 6 CA 1 GB 15 | US 3 US 95 US 65US O US 6 GB O US 164 US 76 US 2014 2016 2012 2013 2015 2016 1 117 2 1 1 2016 1 2 1 1 118 119 120 121 122 123 124 125 126 127 128 129 130 2 1 0 2016 2015 2015 2015 2011 2017 2015 2015 2016 2016 2014 2015 2015 2016 1 0 1 2 131 0 0 1 132 133 134 135 136 2016 1 2 2014 2013 1 129 2016 1 2 130 2014 2015 2015 0 0 2016 1 131 132 133 134 135 136 137 138 139 140 1 2 1 1 141 1 1 2 2 2 2 1 1 1 1 2016 2014 2013 2015 2015 2014 2012 2015 2012 2014 2016 2013 2014 2012 2017 2012 2012 2012 2013 2014 2014 2011 2015 2014 2 1 2 142 143 144 145 146 147 148 149 150 151 152 153 154 155 156 157 158 159 160 161 162 163 164 0 1000261018 Technology 1000208182 Music 1000278154 Games 1000282297 Food 1000291122 Design 1000291263 Fashion 1000294550 Theater 1000320473 Film & Video 1000328150 Games 1000328329 Fashion 1000331311 Games 1000332383 Film & Video 1000333671 Music 1000334074 Fashion 1000335422 Comics 1000339918 Publishing 1000339877 Theater 1000340077 Food 1000344383 Music 1000349890 Games 1000348776 Comics 1000354330 Theater 10003650 Music 1000374001 Music 1000380601 Film & Video 1000300241 Film & Video 1000392220 Film & Video 100039820 Technology 1000399156 Food 1000405057 Film & Video 1000413719 Music 1000416000 Publishing 1000422071 Design 1000427280 Technology 1000428719 Food 10004373 Film & Video 100044420 Film & Video 1000446613 Fashion 1000450327 Fashion 1000454605 Music 1000465399 Games 1000468346 Technology 1000476123 Food 1000479996 Music 1000481607 Music 1000490952) Art 1000401057 Film & Video 1000491830 Music USD USD USD USD GBP USD USD USD USD GBP USD USD USD USD CAD EUR USD USD USD EUR USD USD USD USD USD USD USD CAD USD USD USD USD USD CAD USD USD USD USD USD USD USD USD USD USD USD USD USD USD 100000.00 4000.00 13000.00 25000.00 500.00 68000.00 7500.00 29700.00 50000.00 2000.00 13000.00 4000.00 500.00 500.00 4000.00 10000.00 5000.00 3000.00 4500.00 5000.00 4289.00 2000.00 15000.00 10000.00 1500.00 3000.00 2000.00 25000.00 5000.00 500.00 200.00 1000.00 500.00 50000.00 20000.00 1800.00 5000.00 5400.00 1750.00 1000.00 19500.00 500.00 100.00 10000.00 1000.00 8000.00 50000.00 6325.00 100000.00 4000.00 13000.00 25000.00 660.62 68000.00 7500.00 29700.00 50000.00 3063.58 13000.00 4000.00 500.00 500.00 3759.05 11092.99 5000.00 3000.00 4500.00 5938.52 4289.00 2000.00 15000.00 10000.00 1500.00 3000.00 2000.00 19632.48 5000.00 500.00 200.00 1000.00 500.00 40183.24 20000.00 1800.00 5000.00 5400.00 1750.00 1000.00 19500.00 500.00 100.00 10000.00 1000.00 8000.00 50000.00 6325.00 100.00 4795.00 2453.00 0.00 174.83 0.00 8157.01 10410.00 1410.00 95.87 1811.00 4045.00 1540.00 754.82 4523.37 22.35 110.00 1027.00 409.00 5509.51 474.00 2075.00 151.00 10414.00 1932.99 3755.00 2252.99 2.41 0.00 756.00 274.05 0.00 1.00 9240.74 47273.00 7.00 50.00 5858.00 1805.00 1455.00 20269.00 261.00 0.00 10.00 0.00 605.00 20.00 10.00 2 2 2 2 1 1 2 2 2 1 0 2 3 US 95 US 65 | US OUS 6 GB O US 164 US 76 US 38 US 9 GB 34 US 29 US 31 US 36 US 153 CA 9 DE 2 US 18 US 10 US 346 IT 14 US 40 US 4 US 113 US 29 US 52 US 45 US 3 CA OUS 8 US 14 US 19 US 4 US 19 CA 1261 US 2 US 3 US 131 US 25 US 41 US 491 US 6 US OUS 1 US 13 US 121 US 3 US 2 US 2014 1 165 1 166 167 168 169 170 171 172 2012 2016 2016 2015 2016 2017 2010 2012 2014 2012 2013 2017 2014 2016 2016 2017 2017 2016 2 2 2 2 1 1 1 1 2 1 1 173 174 175 176 1 1 1 1 2 1 1 2 1 1 1 177 178 179 180 181 182 183 184 185 186 187 188 189 190 191 192 193 194 195 196 197 198 199 200 2 2 1 USD USD USD USD USD USD USD USD USD USD GBP USD GBP USD EUR USD USD USD USD USD USD USD GBP GBP GBP USD USD USD GBP 1 2 1 1 1 2 2 1 2 2 1000400845 Film & Video 1000509954 Publishing 1000614796 Design 100061531 Dance 1000519001 Games 1000521061 Food 1000621421 Photography 1000524949 Games 1000536116 Technology 1000537760 Art 1000542390 Film & Video 1000543883 Art 1000545028 Film & Video 1000549881 Music 1000651777 Technology 1000553530 Publishing 1000560129 Technology 1000566962 Games 1000567557 Music 100056720 Publishing 100067323 Art 1000577050 Photography 10005784 Film & Video 1000581546 Art 1000581804 Design 1000506840 Fashion 1000580700 Technology 1000698004 Games 1000000012 Publishing 1000000526 Music 10000009GB Music 1000602150 Games 1000620561 Games 1000024001 Technology 1000027710 Theater 1000629640 Technology 1000038156 Photography 1000630526 Film & Video 1000044119 Film & Video 1000640117 Publishing 1000049918 Games 1000G8004 Music 1000050960 Games 1000654344 Fashion 1000654400 Technology 1000856794 Technology 1000689557 Music 1000674477 Film & Video wyn 2010 2011 2012 2014 2015 2014 2013 2012 2012 2014 2015 2013 2014 2010 2015 2012 2016 2013 2012 2017 2015 2015 2015 2013 2014 2016 2011 2017 2016 2013 2017 2012 2014 2014 2012 2014 2014 2012 2016 2013 2014 2017 2016 2014 2017 2016 2016 2012 20000.00 25000.00 125000.00 3400.00 2000.00 20000.00 3200.00 200.00 250000.00 650.00 500.00 800.00 5000.00 10000.00 4000.00 1400.00 15000.00 25000.00 3000.00 3000.00 650.00 1000.00 750.00 1500.00 500.00 2500.00 6000.00 1000.00 10000.00 600.00 18000.00 12000.00 1925.00 8500.00 7500.00 250000.00 500.00 60000.00 100.00 1000.00 70000.00 1450.00 7500.00 36000.00 50000.00 129000.00 5000.00 100000.00 20000.00 25000.00 125000.00 3400.00 2000.00 20000.00 3200.00 200.00 250000.00 650.00 740.16 800.00 8385.04 10000.00 4567.62 1400.00 15000.00 25000.00 3000.00 3000.00 650.00 1000.00 1113.98 2307.48 803.32 2500.00 6000.00 1000.00 14287.14 917.77 955.82 12000.00 3191.15 8500.00 7500.00 250000.00 829.12 96821.04 114.27 1000.00 70000.00 1450.00 7500.00 36000.00 50000.00 99078.34 5000.00 100000.00 270.00 0.00 3012.00 0.00 14794.00 0.00 568.00 306.72 90771.00 0.00 7.72 1062.57 8345.98 4006.00 313.30 2535.00 25.00 65.00 260.00 225.00 2354.50 95.00 1153.31 2320.27 0.00 30.00 20.00 420.00 1.44 0.00 0.00 3100.66 500.63 1355.00 8315.00 268192.00 16.98 8715.62 21.77 2883.50 15542.11 0.00 942.25 91003.67 4384.00 8267.42 0.00 8085.00 4 US O US 67 US O US 624 US O US 11 US 36 US 120 US O US 1 GB 20 US 47 GB 44 US 12 IE 49 US 1 US 3 US 8 US 33 US 53 US 3 US 15 | GB 19 GB OGB 1 Us 2 US 14 US 1 GB O GB 1 MX 89 US 51GB 4 US 67 US 561 US 1 GB 90 GB 2 ES 78 US 260 US 33 US 55 | US 750 US 12 US 32 AU OUS 37 US 201 1 202 203 204 205 1 1 1 1 206 GBP 1 1 1 1 1 2 2 1 1 1 207 208 209 210 211 212 213 214 215 216 217 218 219 220 221 222 223 224 MXN USD GBP USD USD USD GBP GBP EUR USD USD USD USD USD USD AUD USD USD 2 1 2 1 2 1 1 1 1 1 1 224 225 226 227 1 0 228 1 1 2 2 229 230 231 232 233 234 235 1 2 2 1 236 2 1 1 1 2 1000674477 Film & Video 1000682360 Publishing 1000084976 Art 1000004856 Film & Video 1000697657 Technology 1000099196 Music 1000707541 Music 1000710630 Publishing 1000719127 Film & Video 100072597 Design 1000727191 Music 1000727906 Design 1000741180 Film & Video 1000741387 Design 1000752000 Film & Video 1000754401 Games 1000750916 Music 1000761521 Film & Video 1000767040 Design 1000770140 Publishing 1000772297 Design 1000770014 Technology 1000777557 Music 1000T81360 Publishing 1000701512 Film & Video 1000795030 Art 1000796724 Games 1000789629 Music 100072900 Technology 1000802137 Photography 1000804307 Games 1000804742 Journalism 1000010416 Fashion 1000011882 Games USD GBP USD USD CAD USD USD USD USD USD USD USD USD USD GBP USD USD USD USD GBP USD GBP USD USD USD USD USD USD MXN USD USD GBP GBP GBP 237 238 239 240 241 242 243 244 245 246 247 248 249 2012 2015 2016 2014 2013 2014 2011 2016 2013 2016 2010 2015 2013 2015 2014 2015 2016 2018 2016 2013 2014 2012 2010 2014 2012 2015 2015 2016 2016 2015 2017 2017 2017 2014 100000.00 2500.00 1200.00 6500.00 2000.00 32000.00 777.00 7500.00 50000.00 80000.00 2000.00 9500.00 5000.00 10000.00 500.00 50000.00 4000.00 5000.00 30000.00 5500.00 5000.00 40000.00 4000.00 19650.00 800.00 275.00 14000.00 15000.00 55000.00 2500.00 2000.00 10000.00 200.00 2500.00 100000.00 3959.58 1200.00 6500.00 1916.08 32000.00 777.00 7500.00 50000.00 80000.00 2000.00 9500.00 5000.00 10000.00 856.00 50000.00 4000.00 5000.00 30000.00 8592.68 5000.00 64074.84 4000.00 19650.00 800.00 275.00 14000.00 15000.00 2658.03 2500.00 2000.00 12554.61 262.92 3913.65 8085.00 2068.07 2.00 0.00 636.78 4670.00 923.00 880.00 2161.00 843743.00 2036.00 0.00 5120.00 805.00 16.81 1825.00 15.00 200.00 549.00 8787.83 26407.00 75365.14 30.00 20313.00 850.00 642.00 113.00 18009.00 2.45 0.00 0.00 115.05 19.40 3097.00 37 US 29 GB 2 US OUS 18 CA 42 US 36 US 86 US 26 US 3784 US 38 US O US 81 US 10 US 1 GB 32 US 37 | US 4 US 46 US 140 GB 327 US 3080 GB 2 us 164 US 19 US 40 US 18 US 69 US 24 MX O US 3 US 15 GB 1 GB GB 1 0 2 2 2 1 2 2 2 1 2 2 250 251 252 253 1 254 1 1 1 2 255 256 257 258 259 260 261 262 263 264 265 266 267 268 269 270 271 43 e) Tell me something you learn from your answers to parts cand d. 44 1 marks 45 46 2017 1.00 2014 9mmmmmmamaMg88www 47 48 49 50 51 f) How many elements are there in the data set? How many data points? 2 marks 52 53 54 #elements # data points 55 56 57 D Category Currency Year Goal Goal (USD) USD Pledged State Number of Backers Country 58 1000002330 Publishing GBP 2015 1000.00 1533.95 0.00 1 OGB 59 1000003030 Film & Video USD 30000.00 30000.00 100.00 1 15 US 60 1000004038 Film & Video USD 2013 45000.00 45000.00 220.00 1 3 US 61 1000007540 Music USD 2012 5000.00 5000.00 1 1 US 62 1000011046 Film & Video USD 2015 19500.00 19500.00 1283.00 0 14 US 63 1000014025 Food USD 2016 50000.00 50000.00 52375.00 2 224 US 64 1000023410 Food USD 1000.00 1000.00 1205.00 2 16 US 65 1000030501 Food USD 2016 25000.00 25000.00 453.00 1 40 US 66 1000034510 Design USD 2014 125000.00 125000.00 8233.00 0 58 US 67 100004195 Film & Video USD 2014 65000.00 65000.00 6240.57 0 43 US 68 100004721 Publishing CAD 2013 2500.00 2406.39 0.00 1 | 69 100005484 Music USD 2013 12500.00 12500.00 12700.00 2 100 US 70 1000055792 Crafts USD 2014 5000.00 5000.00 0.00 1 OUS 71 1000066167 Games USD 2016 200000.00 200000.00 0.00 1 OUS 72 1000057080 Games GBP 5000.00 6469.73 57763.78 2 761 GB 73 1000064360 Design USD 2500.00 2500.00 664.00 1 11 US 74 1000064918 Comics USD 1500.00 1500.00 395.00 1 16 US 75 1000068400 Publishing USD 2015 3000.00 3000.00 789.00 1 20 US 76 1000070642 Music USD 2012 250.00 250.00 250.00 2 7 US 77 1000071625 Food USD 2012 5000.00 5000.00 1781.00 1 40 US 78 1000072011 Fashion USD 20000.00 20000.00 34268.00 2 624 US 79 1000081649 Fashion AUD 2017 2500.00 2026.10 0.00 1 1 AU 80 1000082254 Theater USD 2014 3500.00 3500.00 650.00 1 12 US 81 1000087442 Food NOK 2015 500.00 65.55 6.18 1 3 NO 82 1000001620 Comics USD 2014 175.00 175.00 701.66 2 66 US 83 1000102741 Music USD 2011 10000.00 10000.00 15827.00 2 147 US 84 100010394 Crafts GBP 2016 12000.00 17489.65 0.00 1 O GB 85 1000104088 Film & Video CAD 2014 17757.00 15313.04 43203.25 2 571 CA 86 1000104963 Comics GBP 100.00 142.91 167.70 2 27 GB 87 100011310 Film & Video USD 50000.00 50000.00 10120.00 2 840 US 88 1000115172 Food GBP 3500.00 5181.12 32.42 1 1 GB 89 1000117001 Design USD 2016 1000.00 1000.00 11253.00 2 549 US 2017 2015 2014 2013 2016 2017 2015 Kickstarter is an American crowdfunding platform focused on creativity. The company's stated mission is to help bring creative projects to life". The following dataset consists of a sample of 200 Kickstarter projects. Most of the variable names are self-explanatory. Year is the year campaign was launched on Kicksatrter. Goal is the money the campaign was trying to raise in the campaign currency. Goal (USD) is the the money the campaign was trying to raise in USD. USD Pledged is the money raised on Kickstarter. Number of backers show how many people donated to the campaign. State shows the result of the campaign and is equal to Oif campaign was canceled, 1 if the campaign failed, and 2 is the capaign succeeded. a) Which variables are numerical? b) What is the most appropriate measure of central tendency for the variable State? Explain why and find the value of the measure. c) Construct a frequency distribution and a relative frequency distribution for variable Category": Format the table so it looks professional. Enter the cell number of the top-left corner of the table. cell-number d) Name a graphical method best for portraying your answer in part c. Show the graphical representation (for the frequency distribution) and enter the cell number of the top-left corner. graphical method cell-number 2 2 1 2 1 2 2 1 2 89 90 91 92 93 94 95 96 97 98 99 100 101 102 103 104 105 106 107 1 2016 2015 2013 2014 2013 2012 2013 2016 2012 2018 2016 2013 2017 2012 2013 2014 2013 2013 2016 2014 2017 2015 2 2 1 2 1 2 2 2 1 108 2 109 1000117961 Design 1000120151 Design 1000120207 Art 100012079 Music 1000120000 Film & Video 1000131947 Music 1000132945 Film & Video 1000134913 Art 1000146991 Music 1000149007 Publishing 1000153200 Music 1000160296 Photography 1000170904 Games 1000171141 Music 1000182256 Film & Video 1000183112 Food 1000184224 Film & Video 1000190427 Games 1000197321 Art 1000201268 Film & Video 10002014 Photography 1000202062 Art 1000212914 Photography 1000216800 Film & Video 1000217634 Food 1000226676 Publishing 1000227361 Film & Video 1000230071 Film & Video 1000232280 Games 1000233416 Film & Video 1000234596 Fashion 1000235466 Art 1000235643 Food 1000343793 Music 1000245024 Technology 1000252416 Theater 1000256230 Technology 1000256700 Design 1000257563 Crafts 1000260091 Technology 1000261010 Technology 1000262182 Music 1000270154 Games 1000282287 Food 1000291122 Design 1000201263 Fashion 1000294550 Theater 1000320473 Film & Video 110 111 112 113 114 115 116 2012 2014 USD AUD USD USD USD USD USD USD USD CAD USD USD USD USD USD USD USD USD USD USD USD USD USD USD USD USD USD USD USD USD EUR USD USD USD CAD USD GBP CAD GBP USD USD USD USD USD GBP USD USD USD 1000.00 2000.00 25000.00 12000.00 10000.00 4000.00 10000.00 3000.00 15000.00 3000.00 2100.00 15000.00 1500.00 10000.00 2500.00 40000.00 8000.00 3000.00 1200.00 60000.00 9500.00 7500.00 4000.00 11000.00 13750.00 13500.00 9500.00 60000.00 25000.00 250000.00 12000.00 5000.00 15000.00 850.00 50000.00 15000.00 2000.00 15000.00 5000.00 87000.00 100000.00 4000.00 13000.00 25000.00 500.00 68000.00 7500.00 29700.00 1000.00 1427.35 25000.00 12000.00 10000.00 4000.00 10000.00 3000.00 15000.00 2396.36 2100.00 15000.00 1500.00 10000.00 2500.00 40000.00 8000.00 3000.00 1200.00 60000.00 9500.00 7500.00 4000.00 11000.00 13750.00 13500.00 9500.00 60000.00 25000.00 250000.00 13202.34 5000.00 15000.00 850.00 39739.31 15000.00 2579.35 11466.14 7716.41 87000.00 100000.00 4000.00 13000.00 25000.00 660.62 68000.00 7500.00 29700.00 11253.00 1473.62 1395.00 13260.00 1373.37 8641.34 15663.00 17.00 17499.99 185.65 83.00 23907.00 324.00 12656.00 0.00 63401.00 9401.00 8105.00 90.00 61365.16 5.00 3.00 4866.17 11055.00 1.00 0.00 9660.00 635.00 37199.00 65.00 0.00 587.00 124998.00 485.00 0.00 15425.00 0.00 553.32 2.98 2030.00 100.00 4795.00 2453.00 0.00 174.83 0.00 8157.01 10410.00 1 1 2 2 1 1 2 549 US 18AU 30 US 92 US 54 US 157 US 213 US 2 US 277 US 24 CA 34 US 232 US 25 US 181 US o us 855 | US 154 US 218 US 4 US 632 US 2 US 3 US 71 US 51 US 1 US OUS 121 US 5 US 448 US 2 US 2 IT 8 US 2784 US 13 US O CA 144 US O GB 6 CA 1 GB 15 | US 3 US 95 US 65US O US 6 GB O US 164 US 76 US 2014 2016 2012 2013 2015 2016 1 117 2 1 1 2016 1 2 1 1 118 119 120 121 122 123 124 125 126 127 128 129 130 2 1 0 2016 2015 2015 2015 2011 2017 2015 2015 2016 2016 2014 2015 2015 2016 1 0 1 2 131 0 0 1 132 133 134 135 136 2016 1 2 2014 2013 1 129 2016 1 2 130 2014 2015 2015 0 0 2016 1 131 132 133 134 135 136 137 138 139 140 1 2 1 1 141 1 1 2 2 2 2 1 1 1 1 2016 2014 2013 2015 2015 2014 2012 2015 2012 2014 2016 2013 2014 2012 2017 2012 2012 2012 2013 2014 2014 2011 2015 2014 2 1 2 142 143 144 145 146 147 148 149 150 151 152 153 154 155 156 157 158 159 160 161 162 163 164 0 1000261018 Technology 1000208182 Music 1000278154 Games 1000282297 Food 1000291122 Design 1000291263 Fashion 1000294550 Theater 1000320473 Film & Video 1000328150 Games 1000328329 Fashion 1000331311 Games 1000332383 Film & Video 1000333671 Music 1000334074 Fashion 1000335422 Comics 1000339918 Publishing 1000339877 Theater 1000340077 Food 1000344383 Music 1000349890 Games 1000348776 Comics 1000354330 Theater 10003650 Music 1000374001 Music 1000380601 Film & Video 1000300241 Film & Video 1000392220 Film & Video 100039820 Technology 1000399156 Food 1000405057 Film & Video 1000413719 Music 1000416000 Publishing 1000422071 Design 1000427280 Technology 1000428719 Food 10004373 Film & Video 100044420 Film & Video 1000446613 Fashion 1000450327 Fashion 1000454605 Music 1000465399 Games 1000468346 Technology 1000476123 Food 1000479996 Music 1000481607 Music 1000490952) Art 1000401057 Film & Video 1000491830 Music USD USD USD USD GBP USD USD USD USD GBP USD USD USD USD CAD EUR USD USD USD EUR USD USD USD USD USD USD USD CAD USD USD USD USD USD CAD USD USD USD USD USD USD USD USD USD USD USD USD USD USD 100000.00 4000.00 13000.00 25000.00 500.00 68000.00 7500.00 29700.00 50000.00 2000.00 13000.00 4000.00 500.00 500.00 4000.00 10000.00 5000.00 3000.00 4500.00 5000.00 4289.00 2000.00 15000.00 10000.00 1500.00 3000.00 2000.00 25000.00 5000.00 500.00 200.00 1000.00 500.00 50000.00 20000.00 1800.00 5000.00 5400.00 1750.00 1000.00 19500.00 500.00 100.00 10000.00 1000.00 8000.00 50000.00 6325.00 100000.00 4000.00 13000.00 25000.00 660.62 68000.00 7500.00 29700.00 50000.00 3063.58 13000.00 4000.00 500.00 500.00 3759.05 11092.99 5000.00 3000.00 4500.00 5938.52 4289.00 2000.00 15000.00 10000.00 1500.00 3000.00 2000.00 19632.48 5000.00 500.00 200.00 1000.00 500.00 40183.24 20000.00 1800.00 5000.00 5400.00 1750.00 1000.00 19500.00 500.00 100.00 10000.00 1000.00 8000.00 50000.00 6325.00 100.00 4795.00 2453.00 0.00 174.83 0.00 8157.01 10410.00 1410.00 95.87 1811.00 4045.00 1540.00 754.82 4523.37 22.35 110.00 1027.00 409.00 5509.51 474.00 2075.00 151.00 10414.00 1932.99 3755.00 2252.99 2.41 0.00 756.00 274.05 0.00 1.00 9240.74 47273.00 7.00 50.00 5858.00 1805.00 1455.00 20269.00 261.00 0.00 10.00 0.00 605.00 20.00 10.00 2 2 2 2 1 1 2 2 2 1 0 2 3 US 95 US 65 | US OUS 6 GB O US 164 US 76 US 38 US 9 GB 34 US 29 US 31 US 36 US 153 CA 9 DE 2 US 18 US 10 US 346 IT 14 US 40 US 4 US 113 US 29 US 52 US 45 US 3 CA OUS 8 US 14 US 19 US 4 US 19 CA 1261 US 2 US 3 US 131 US 25 US 41 US 491 US 6 US OUS 1 US 13 US 121 US 3 US 2 US 2014 1 165 1 166 167 168 169 170 171 172 2012 2016 2016 2015 2016 2017 2010 2012 2014 2012 2013 2017 2014 2016 2016 2017 2017 2016 2 2 2 2 1 1 1 1 2 1 1 173 174 175 176 1 1 1 1 2 1 1 2 1 1 1 177 178 179 180 181 182 183 184 185 186 187 188 189 190 191 192 193 194 195 196 197 198 199 200 2 2 1 USD USD USD USD USD USD USD USD USD USD GBP USD GBP USD EUR USD USD USD USD USD USD USD GBP GBP GBP USD USD USD GBP 1 2 1 1 1 2 2 1 2 2 1000400845 Film & Video 1000509954 Publishing 1000614796 Design 100061531 Dance 1000519001 Games 1000521061 Food 1000621421 Photography 1000524949 Games 1000536116 Technology 1000537760 Art 1000542390 Film & Video 1000543883 Art 1000545028 Film & Video 1000549881 Music 1000651777 Technology 1000553530 Publishing 1000560129 Technology 1000566962 Games 1000567557 Music 100056720 Publishing 100067323 Art 1000577050 Photography 10005784 Film & Video 1000581546 Art 1000581804 Design 1000506840 Fashion 1000580700 Technology 1000698004 Games 1000000012 Publishing 1000000526 Music 10000009GB Music 1000602150 Games 1000620561 Games 1000024001 Technology 1000027710 Theater 1000629640 Technology 1000038156 Photography 1000630526 Film & Video 1000044119 Film & Video 1000640117 Publishing 1000049918 Games 1000G8004 Music 1000050960 Games 1000654344 Fashion 1000654400 Technology 1000856794 Technology 1000689557 Music 1000674477 Film & Video wyn 2010 2011 2012 2014 2015 2014 2013 2012 2012 2014 2015 2013 2014 2010 2015 2012 2016 2013 2012 2017 2015 2015 2015 2013 2014 2016 2011 2017 2016 2013 2017 2012 2014 2014 2012 2014 2014 2012 2016 2013 2014 2017 2016 2014 2017 2016 2016 2012 20000.00 25000.00 125000.00 3400.00 2000.00 20000.00 3200.00 200.00 250000.00 650.00 500.00 800.00 5000.00 10000.00 4000.00 1400.00 15000.00 25000.00 3000.00 3000.00 650.00 1000.00 750.00 1500.00 500.00 2500.00 6000.00 1000.00 10000.00 600.00 18000.00 12000.00 1925.00 8500.00 7500.00 250000.00 500.00 60000.00 100.00 1000.00 70000.00 1450.00 7500.00 36000.00 50000.00 129000.00 5000.00 100000.00 20000.00 25000.00 125000.00 3400.00 2000.00 20000.00 3200.00 200.00 250000.00 650.00 740.16 800.00 8385.04 10000.00 4567.62 1400.00 15000.00 25000.00 3000.00 3000.00 650.00 1000.00 1113.98 2307.48 803.32 2500.00 6000.00 1000.00 14287.14 917.77 955.82 12000.00 3191.15 8500.00 7500.00 250000.00 829.12 96821.04 114.27 1000.00 70000.00 1450.00 7500.00 36000.00 50000.00 99078.34 5000.00 100000.00 270.00 0.00 3012.00 0.00 14794.00 0.00 568.00 306.72 90771.00 0.00 7.72 1062.57 8345.98 4006.00 313.30 2535.00 25.00 65.00 260.00 225.00 2354.50 95.00 1153.31 2320.27 0.00 30.00 20.00 420.00 1.44 0.00 0.00 3100.66 500.63 1355.00 8315.00 268192.00 16.98 8715.62 21.77 2883.50 15542.11 0.00 942.25 91003.67 4384.00 8267.42 0.00 8085.00 4 US O US 67 US O US 624 US O US 11 US 36 US 120 US O US 1 GB 20 US 47 GB 44 US 12 IE 49 US 1 US 3 US 8 US 33 US 53 US 3 US 15 | GB 19 GB OGB 1 Us 2 US 14 US 1 GB O GB 1 MX 89 US 51GB 4 US 67 US 561 US 1 GB 90 GB 2 ES 78 US 260 US 33 US 55 | US 750 US 12 US 32 AU OUS 37 US 201 1 202 203 204 205 1 1 1 1 206 GBP 1 1 1 1 1 2 2 1 1 1 207 208 209 210 211 212 213 214 215 216 217 218 219 220 221 222 223 224 MXN USD GBP USD USD USD GBP GBP EUR USD USD USD USD USD USD AUD USD USD 2 1 2 1 2 1 1 1 1 1 1 224 225 226 227 1 0 228 1 1 2 2 229 230 231 232 233 234 235 1 2 2 1 236 2 1 1 1 2 1000674477 Film & Video 1000682360 Publishing 1000084976 Art 1000004856 Film & Video 1000697657 Technology 1000099196 Music 1000707541 Music 1000710630 Publishing 1000719127 Film & Video 100072597 Design 1000727191 Music 1000727906 Design 1000741180 Film & Video 1000741387 Design 1000752000 Film & Video 1000754401 Games 1000750916 Music 1000761521 Film & Video 1000767040 Design 1000770140 Publishing 1000772297 Design 1000770014 Technology 1000777557 Music 1000T81360 Publishing 1000701512 Film & Video 1000795030 Art 1000796724 Games 1000789629 Music 100072900 Technology 1000802137 Photography 1000804307 Games 1000804742 Journalism 1000010416 Fashion 1000011882 Games USD GBP USD USD CAD USD USD USD USD USD USD USD USD USD GBP USD USD USD USD GBP USD GBP USD USD USD USD USD USD MXN USD USD GBP GBP GBP 237 238 239 240 241 242 243 244 245 246 247 248 249 2012 2015 2016 2014 2013 2014 2011 2016 2013 2016 2010 2015 2013 2015 2014 2015 2016 2018 2016 2013 2014 2012 2010 2014 2012 2015 2015 2016 2016 2015 2017 2017 2017 2014 100000.00 2500.00 1200.00 6500.00 2000.00 32000.00 777.00 7500.00 50000.00 80000.00 2000.00 9500.00 5000.00 10000.00 500.00 50000.00 4000.00 5000.00 30000.00 5500.00 5000.00 40000.00 4000.00 19650.00 800.00 275.00 14000.00 15000.00 55000.00 2500.00 2000.00 10000.00 200.00 2500.00 100000.00 3959.58 1200.00 6500.00 1916.08 32000.00 777.00 7500.00 50000.00 80000.00 2000.00 9500.00 5000.00 10000.00 856.00 50000.00 4000.00 5000.00 30000.00 8592.68 5000.00 64074.84 4000.00 19650.00 800.00 275.00 14000.00 15000.00 2658.03 2500.00 2000.00 12554.61 262.92 3913.65 8085.00 2068.07 2.00 0.00 636.78 4670.00 923.00 880.00 2161.00 843743.00 2036.00 0.00 5120.00 805.00 16.81 1825.00 15.00 200.00 549.00 8787.83 26407.00 75365.14 30.00 20313.00 850.00 642.00 113.00 18009.00 2.45 0.00 0.00 115.05 19.40 3097.00 37 US 29 GB 2 US OUS 18 CA 42 US 36 US 86 US 26 US 3784 US 38 US O US 81 US 10 US 1 GB 32 US 37 | US 4 US 46 US 140 GB 327 US 3080 GB 2 us 164 US 19 US 40 US 18 US 69 US 24 MX O US 3 US 15 GB 1 GB GB 1 0 2 2 2 1 2 2 2 1 2 2 250 251 252 253 1 254 1 1 1 2 255 256 257 258 259 260 261 262 263 264 265 266 267 268 269 270 271 43 e) Tell me something you learn from your answers to parts cand d. 44 1 marks 45 46 2017 1.00 2014 9mmmmmmamaMg88www 47 48 49 50 51 f) How many elements are there in the data set? How many data points? 2 marks 52 53 54 #elements # data points 55 56 57 D Category Currency Year Goal Goal (USD) USD Pledged State Number of Backers Country 58 1000002330 Publishing GBP 2015 1000.00 1533.95 0.00 1 OGB 59 1000003030 Film & Video USD 30000.00 30000.00 100.00 1 15 US 60 1000004038 Film & Video USD 2013 45000.00 45000.00 220.00 1 3 US 61 1000007540 Music USD 2012 5000.00 5000.00 1 1 US 62 1000011046 Film & Video USD 2015 19500.00 19500.00 1283.00 0 14 US 63 1000014025 Food USD 2016 50000.00 50000.00 52375.00 2 224 US 64 1000023410 Food USD 1000.00 1000.00 1205.00 2 16 US 65 1000030501 Food USD 2016 25000.00 25000.00 453.00 1 40 US 66 1000034510 Design USD 2014 125000.00 125000.00 8233.00 0 58 US 67 100004195 Film & Video USD 2014 65000.00 65000.00 6240.57 0 43 US 68 100004721 Publishing CAD 2013 2500.00 2406.39 0.00 1 | 69 100005484 Music USD 2013 12500.00 12500.00 12700.00 2 100 US 70 1000055792 Crafts USD 2014 5000.00 5000.00 0.00 1 OUS 71 1000066167 Games USD 2016 200000.00 200000.00 0.00 1 OUS 72 1000057080 Games GBP 5000.00 6469.73 57763.78 2 761 GB 73 1000064360 Design USD 2500.00 2500.00 664.00 1 11 US 74 1000064918 Comics USD 1500.00 1500.00 395.00 1 16 US 75 1000068400 Publishing USD 2015 3000.00 3000.00 789.00 1 20 US 76 1000070642 Music USD 2012 250.00 250.00 250.00 2 7 US 77 1000071625 Food USD 2012 5000.00 5000.00 1781.00 1 40 US 78 1000072011 Fashion USD 20000.00 20000.00 34268.00 2 624 US 79 1000081649 Fashion AUD 2017 2500.00 2026.10 0.00 1 1 AU 80 1000082254 Theater USD 2014 3500.00 3500.00 650.00 1 12 US 81 1000087442 Food NOK 2015 500.00 65.55 6.18 1 3 NO 82 1000001620 Comics USD 2014 175.00 175.00 701.66 2 66 US 83 1000102741 Music USD 2011 10000.00 10000.00 15827.00 2 147 US 84 100010394 Crafts GBP 2016 12000.00 17489.65 0.00 1 O GB 85 1000104088 Film & Video CAD 2014 17757.00 15313.04 43203.25 2 571 CA 86 1000104963 Comics GBP 100.00 142.91 167.70 2 27 GB 87 100011310 Film & Video USD 50000.00 50000.00 10120.00 2 840 US 88 1000115172 Food GBP 3500.00 5181.12 32.42 1 1 GB 89 1000117001 Design USD 2016 1000.00 1000.00 11253.00 2 549 US 2017 2015 2014 2013 2016 2017 2015 Kickstarter is an American crowdfunding platform focused on creativity. The company's stated mission is to help bring creative projects to life". The following dataset consists of a sample of 200 Kickstarter projects. Most of the variable names are self-explanatory. Year is the year campaign was launched on Kicksatrter. Goal is the money the campaign was trying to raise in the campaign currency. Goal (USD) is the the money the campaign was trying to raise in USD. USD Pledged is the money raised on Kickstarter. Number of backers show how many people donated to the campaign. State shows the result of the campaign and is equal to Oif campaign was canceled, 1 if the campaign failed, and 2 is the capaign succeeded. a) Which variables are numerical? b) What is the most appropriate measure of central tendency for the variable State? Explain why and find the value of the measure. c) Construct a frequency distribution and a relative frequency distribution for variable Category": Format the table so it looks professional. Enter the cell number of the top-left corner of the table. cell-number d) Name a graphical method best for portraying your answer in part c. Show the graphical representation (for the frequency distribution) and enter the cell number of the top-left corner. graphical method cell-number
Step by Step Solution
There are 3 Steps involved in it
Get step-by-step solutions from verified subject matter experts
