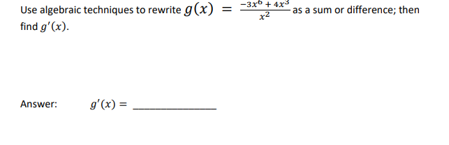
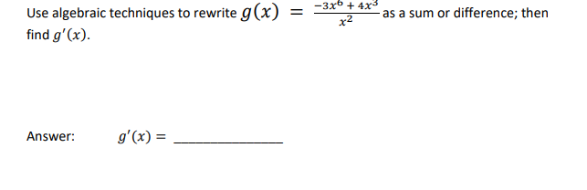
Question: Please answer: Use algebraic techniques to rewrite g (x ) = -3x + 4x3 as a sum or difference; then find g'(x). Answer: g' (

Please answer:

Use algebraic techniques to rewrite g (x ) = -3x + 4x3 as a sum or difference; then find g'(x). Answer: g' ( x) = _
Step by Step Solution
There are 3 Steps involved in it
Get step-by-step solutions from verified subject matter experts
