Question: Please can you help me with QUESTION C ONLY . The information above is needed to answer the question. Please can you explain all the
Please can you help me with QUESTION C ONLY. The information above is needed to answer the question. Please can you explain all the steps you take in getting the correct answer and please reference and point out any economic models that you use . Thank you very much for your help, I will leave a fantastic review. Thanks Again for your time :) I HAVE INCLUDED THE ANSWER TO QUESTION A ALSO AS IT IS NEEDED :)

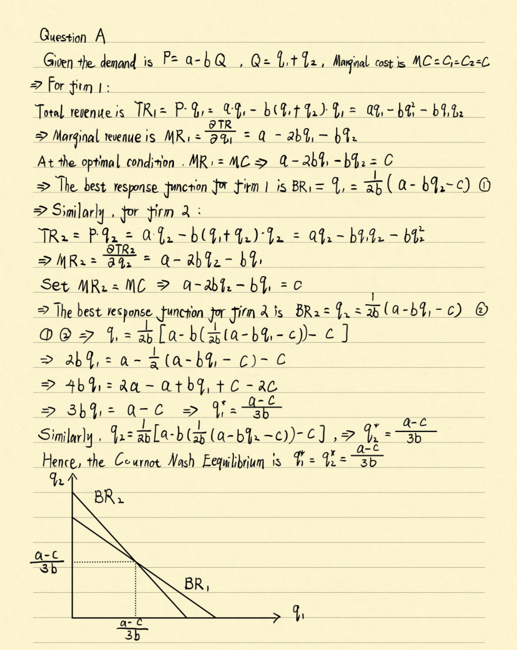
Question A Given the demand is P= a - b Q , Q= 2. + z, Marginal cost is MC = C, = CZ=C = For firm 1: Total revenue is TRI = P . 9, = 9. 9. - b19, + 92 ). 91 = 09 - 69 - 69, 82 => Marginal revenue is MR. = 291 = a - 269, - 692 At the optimal condition . MR . = MC => a - 269, - bq2 = C > The best response function for firm I is BRI = 9, = 26 ( a - 692 - c) @ => Similarly , for firm 2 : TR = = P. 9 2 = a 92 - b ( 9, + 92) . 92 = 992 - 69.92 - biz => MR = = 292 = Q- 2692 - bq. Set MRz = MC => a- 2biz - bq, = c => The best response function for Firm 2 is BRz = 92 = 26 ( a - bq, - c) ( Q 3 => 9. = 26 [ a - b ( 26 ( a - bq, - c))- c] => 26 9, = a - 2 ( a - bq, - c) - c => 46 9, = 20 - atbq, + C-2c => 36 9, = Q - c => qi = 3b a - c Similarly . 92 = 26 [a- b(25 ( a - 692 - c)) - c], => 9% = - a -c 3b Hence, the Cournot Nash Eequilibrium is $ = 92 = 36 a - c BR 2 a -c 3b BR a - C 3b
Step by Step Solution
There are 3 Steps involved in it
Get step-by-step solutions from verified subject matter experts
