Question: please do all questions.. i think they are small.. will give a like.. need in 1-2 hours 1. (n) [10] Find ull =EC{1} for which
please do all questions.. i think they are small.. will give a like.. need in 1-2 hours

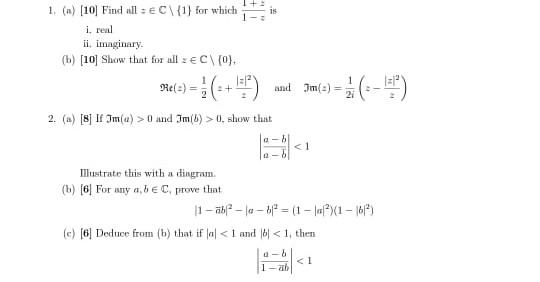
1. (n) [10] Find ull =EC\{1} for which 1z1+z is i. real ii. inaginary. (b) [10] Show that for all=C,{0}, Re(z)=21(z+z=2)andmin(z)=2i1(zzz2) 2. (a) [8] If Tm(a)>0 and Tm(b)>00. show that abab
Step by Step Solution
There are 3 Steps involved in it
1 Expert Approved Answer
Step: 1 Unlock
Question Has Been Solved by an Expert!
Get step-by-step solutions from verified subject matter experts
Step: 2 Unlock
Step: 3 Unlock
