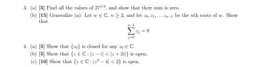
Question: please do all questions.. i think they are small.. will give a like.. need in 1-2 hours 3. (a) [5] Find all the values of
please do all questions.. i think they are small.. will give a like.. need in 1-2 hours

3. (a) [5] Find all the values of 271/9, and show that their sum is zero. (b) [15] Gentalize (a): Lat wC,n2, and let 2021,n1 be the nth roots of w. Show that j=0n1=j=0 4. (a) [5] Show that. { an } in closed for axy za C (b) [5] Shew that {zC:zi
Step by Step Solution
There are 3 Steps involved in it
1 Expert Approved Answer
Step: 1 Unlock
Question Has Been Solved by an Expert!
Get step-by-step solutions from verified subject matter experts
Step: 2 Unlock
Step: 3 Unlock
