Question: Please explain each response to each prompt using physics terms/ideas/formulas/proofs. I would like to check my own work. Please NO REPOSTS of other work. Shot
Please explain each response to each prompt using physics terms/ideas/formulas/proofs. I would like to check my own work. Please NO REPOSTS of other work.




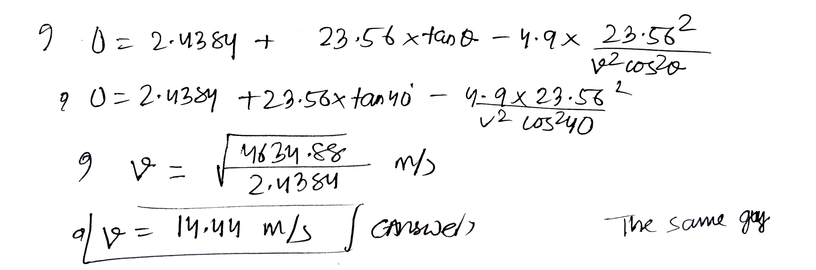
Shot put trajectory. In the track and eld event of shot put, the athlete throws a metal ball, the shot, as far as possible. The weight for men's competition is 161b, the same as the heaviest bowling ball. Let's ignore air resistance for this problem because the ball is dense and relatively slow. Proceed symbolically as much as you can. (a) Solve for the distance of the throw as a function of initial velocity 170 and launch angle 9 with respect to the horizon. To Iliake the problem simpler, assume the shot starts its trajectory at ground level. (b) What is the optimal angle to achieve the longest distance? (c) The world record set by Ryan Crouser in 2023 is 23.56m. Assuming he threw the shot at an angle of 40. how fast was it going when it left his hand? At 6 ft Tin, Ryan is taller than most of his competitorsa welcome advantage when the event. can be won by centimeters. Assume he is able to release the shot 8 ft. off the ground. Shot put trajectory initial speed = Vo launch angle = G launch height h = 0 y = initial speed of shor V V= VX C + Vy J Vx vx = horizontal component of Vy = vertical component of X VX IV cost, Vy = VSing Horizontal distance x = Vx T I= Time of flight of motion . Let us bind T. for vertical motion , net displacement = 0 So , using 1 = yotut + + atz In the case , y= 0 , yo = initial height = 0 a = - g t = T qu= vy 9 0 = 0 + Vy T + + ( - g ) T 2 1 T = 2 vy 9 T = 2v sina We know X = VX T = V cosax 2using 9 X = 2192 sino cos Q 1 2 sino-cosQ = sin 20 9 / X = v sin 2Q Algorithmby to achieve longest X should be longest X = V Sin20 If v & g are constants, X depends on sin 20 The maximum value of sinzo =1 to have maximum . X= D sinzo g Si 20 = 1 = Sin 90 comparing angles 9 20 = 90 9 0 = 4501 it should be launched at 950 to achieve the longest distance . 6 Ryan from Eff shot 23.56 m at launch angle D = 40 ' X - 23. 56 m, 40 : 8ft = 8 x0. 3058 m = 2,4389 m 70 X Let us bind I y = yo + ut + + at 2 Here , yzo , yo = 2 . 4384 m , u = Using , t = T, a =- g 9 0 = 2 . 4354 + vesino T - $ x 9.8 72 -1 NOW , X = UX T = Vx T = vcos Q T g T= _ 1coso Repring Tin equation -") 9 0 = 2 . 4389 +using . X - X 9.8 x x2 V cos1 9 V 2 cos 200 = 2.4384 + 23.56 x tano - 4. 9 x 23.56 2 192 cos zo 9 0 = 2. 4384 + 23. 56 x tan yo - 4- 9x 23.562 V 2 605 240 4634.88 2. 43 sy m / ) 9/ 19 = 14.49 m/s 1 Carswell The same guy
Step by Step Solution
There are 3 Steps involved in it
Get step-by-step solutions from verified subject matter experts
