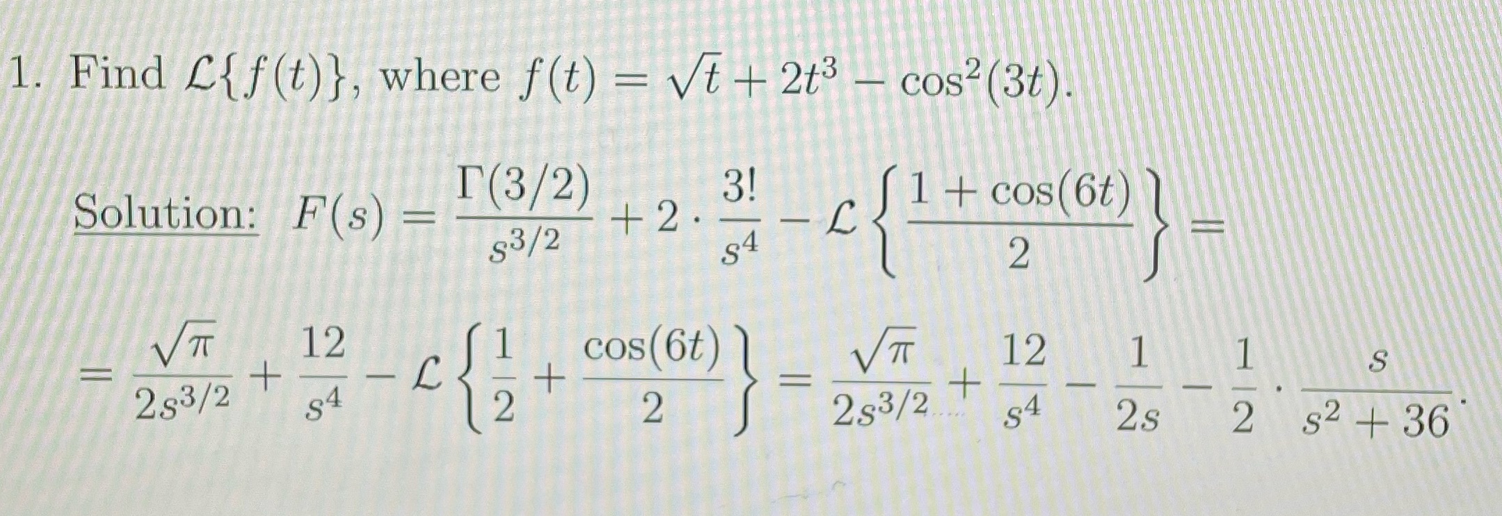
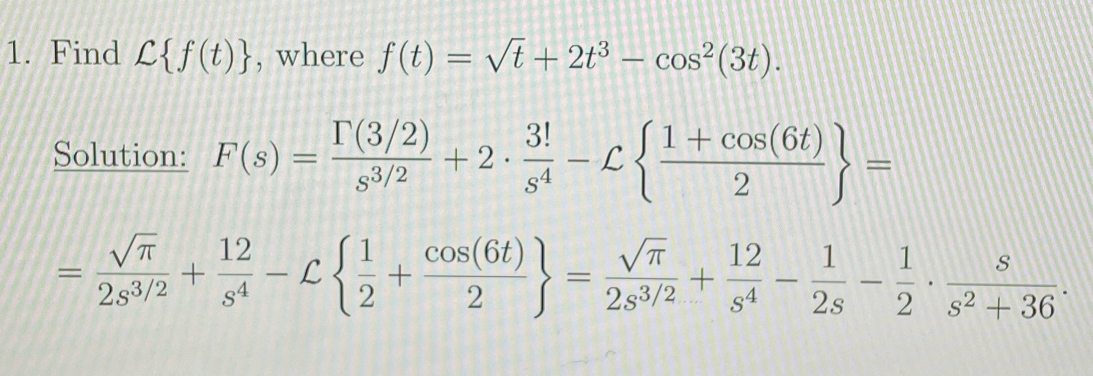
Question: Please explain the answer with steps and provide another solution if possible 1. Find C{f(t)}, where f(t) = Vt + 2t3 - cos2(3t). Solution: F(s)

Please explain the answer with steps and provide another solution if possible

1. Find C{f(t)}, where f(t) = Vt + 2t3 - cos2(3t). Solution: F(s) = T(3/2 + 2 . 3! $4 C 1 + cos (6t) $3/2 2 V TT 12 C cos (6t VTT 12 1 S 293/2 + 2 253/2 7 2s 2 $2 + 36
Step by Step Solution
There are 3 Steps involved in it
Get step-by-step solutions from verified subject matter experts
