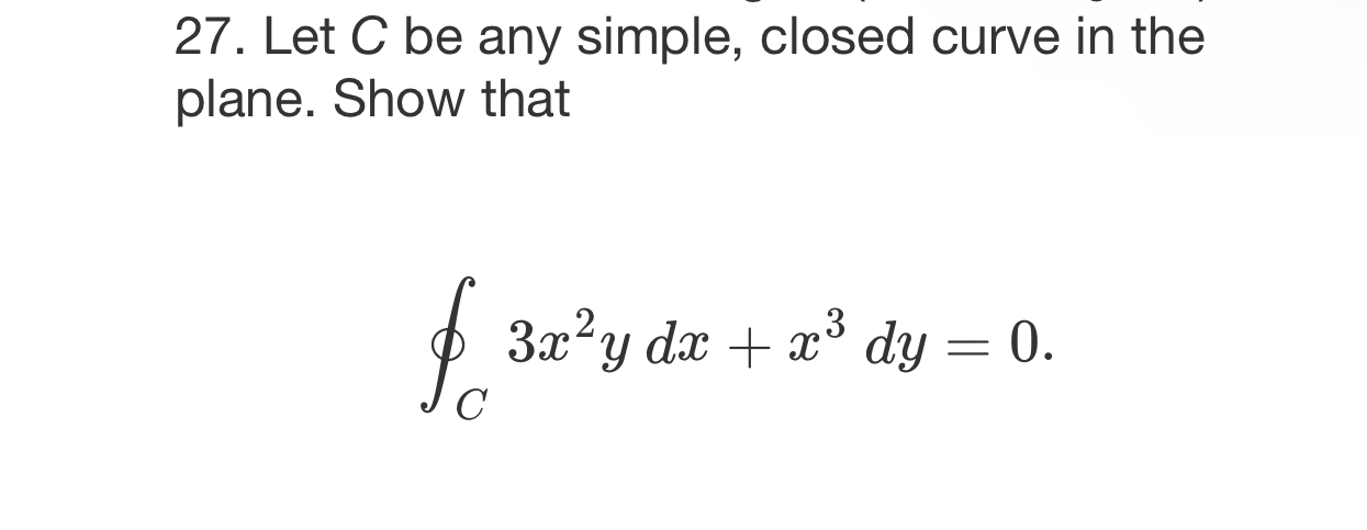
Question: Please explain too Let C be any simple, closed curve in the plane. Show that o C 3 x 2 y d x + x
Please explain too Let be any simple, closed curve in the plane. Show that
Step by Step Solution
There are 3 Steps involved in it
1 Expert Approved Answer
Step: 1 Unlock
Question Has Been Solved by an Expert!
Get step-by-step solutions from verified subject matter experts
Step: 2 Unlock
Step: 3 Unlock
