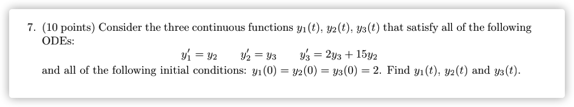
Question: please help 7. (10 points) Consider the three continuous functions y1 (t), y2(t), y3(t) that satisfy all of the following ODEs: y1 = y2 32
please help

Step by Step Solution
There are 3 Steps involved in it
1 Expert Approved Answer
Step: 1 Unlock
Question Has Been Solved by an Expert!
Get step-by-step solutions from verified subject matter experts
Step: 2 Unlock
Step: 3 Unlock
