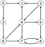
Question: please help answer question and don't copy paste answer QUESTION 1: [3 POSSIBLE POINTS] Considering the directed graph G = (V,E) shown above and assume
please help answer question and don't copy paste answer
QUESTION 1: [3 POSSIBLE POINTS]

Considering the directed graph G = (V,E) shown above and assume that the adjacency lists for all vertices are sorted by increasing vertex indices , answer the following
1- A) by solving the DFS(G) discovery time, finish time predecessor for each node draw the DFS forest for the above graph
2- B) How many times in total has DFS-Visit has been called is it correct to consider discovery time and finish in count of total visits?
3 - C) Main question (run BFS (G, 0) starting with source 0. Show the Queue after each step. Show also d[], p[] lists and BFS tree) [ C is important for double points]
please draw the tree and the queue thank you.
0 1 2 3 4 5 6 7 8
Step by Step Solution
There are 3 Steps involved in it
Get step-by-step solutions from verified subject matter experts
