Question: Please help! Clear handwriting In Exercises 1-8, W is a subset of R- consisting of vec- tors of the form X1 X= X2In each case
Please help!
Clear handwriting




![X] =7. W = {x: x7 + x2= 1}In Exercises 917, W](https://dsd5zvtm8ll6.cloudfront.net/si.experts.images/questions/2024/10/6709a134f3437_3406709a134d74e5.jpg)





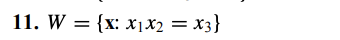
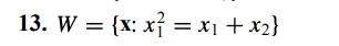
In Exercises 1-8, W is a subset of R- consisting of vec- tors of the form X1 X= X2In each case determine whether W is a subspace of R2. If W is a subspace, then give a geometric description of W. \f\f5. W = X X] =7. W = {x: x7 + x2= 1}In Exercises 917, W is a subset of R3 consisting of vectors of the form In each case, determine whether W is a subspace of R3. If W is a subspace, then give a geometric description of W. 9. W = X X3 = 2x1 - x2}11. W = X. XX, = X3)13. W = X: X -1 = XI+x2)
Step by Step Solution
There are 3 Steps involved in it
1 Expert Approved Answer
Step: 1 Unlock
Question Has Been Solved by an Expert!
Get step-by-step solutions from verified subject matter experts
Step: 2 Unlock
Step: 3 Unlock
