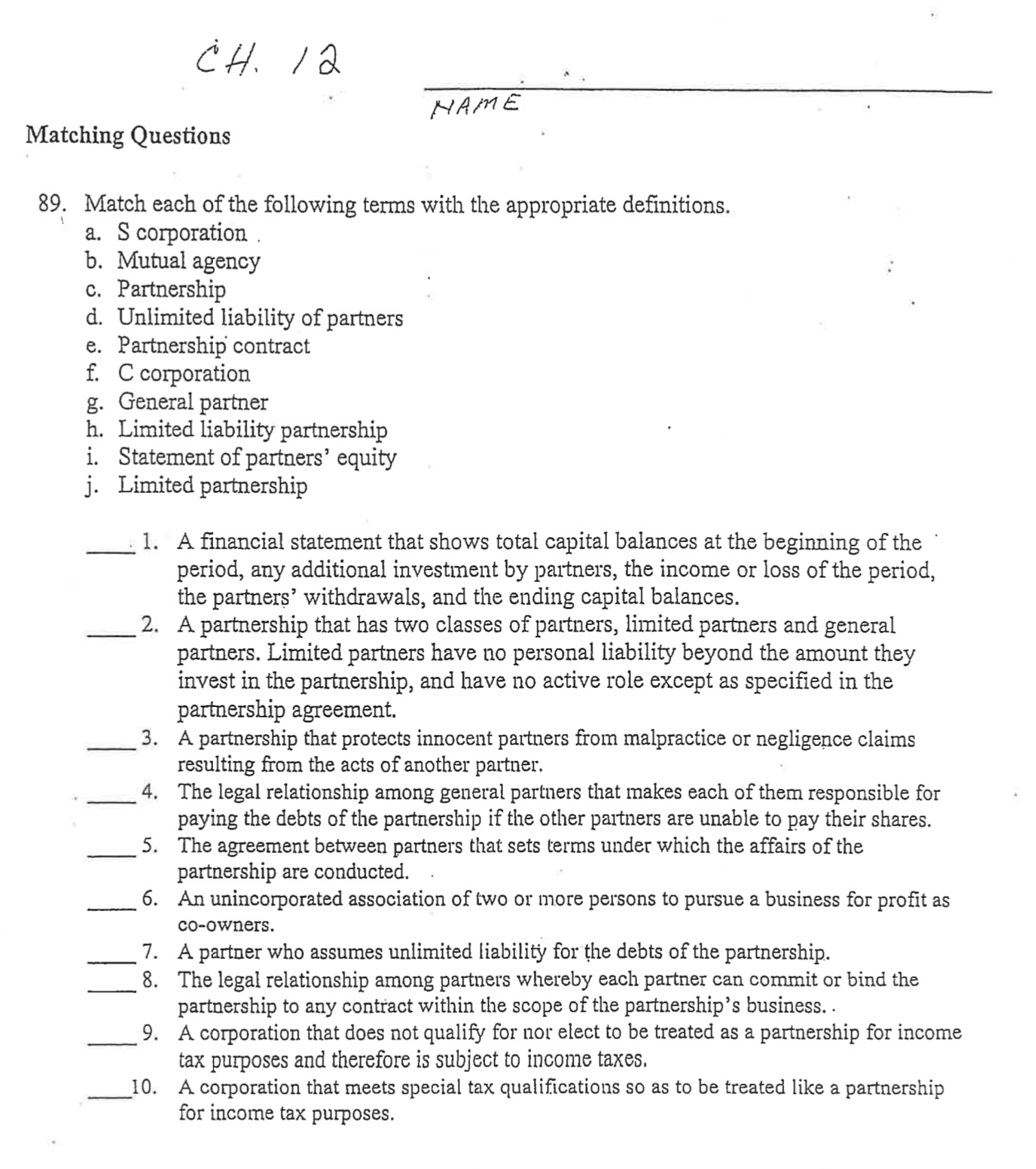
Question: Please help match the definitions an. /a _ ., Name Matching Questions 89'. Match each of the following terms with the appropriate denitions. ' a.
Please help match the definitions

Step by Step Solution
There are 3 Steps involved in it
1 Expert Approved Answer
Step: 1 Unlock
Question Has Been Solved by an Expert!
Get step-by-step solutions from verified subject matter experts
Step: 2 Unlock
Step: 3 Unlock
