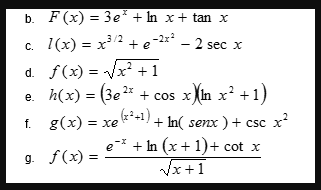
Question: please help me solve these derivatives b. F(x) = 3e* + In x+ tan X c. I(x) = x 3/2 + 2 -2x- - 2

please help me solve these derivatives

b. F(x) = 3e* + In x+ tan X c. I(x) = x 3/2 + 2 -2x- - 2 sec x d. f (x) = x + 1 e. h(x) = (3e 2x + cos x )In x3 + 1) f. g(x) = xe (x3+1) + In( senx ) + csc x f ( x ) = (x + 1 + cot x Vx+1
Step by Step Solution
There are 3 Steps involved in it
Get step-by-step solutions from verified subject matter experts
