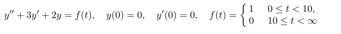
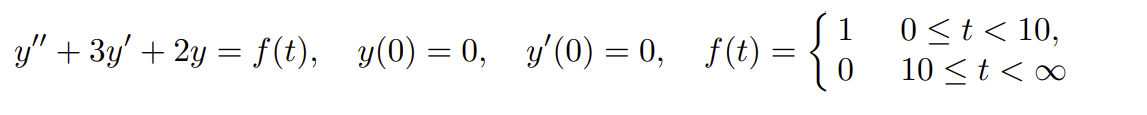
Question: Please help me solve this question and please show all the steps on how you got the answer and please write clearly so that I

Please help me solve this question and please show all the steps on how you got the answer and please write clearly so that I can understand what you wrote. Note this question is based on IVPs with discontinuous and impulse forcing functions so solve the question based on that.
Laplace transform: IVPs with discontinuous and impulse forcing functions
Find the solution y(t) of each of the following initial value problems. Sketch a plot of the forcing function f(t) and the solution y(t) on the interval t ? 0, and explain how they are related

1 0
Step by Step Solution
There are 3 Steps involved in it
Get step-by-step solutions from verified subject matter experts
