Question: Please help me with my assignment (12 points) Determine whether the series listed below are convergent or divergent. Give the sums of the convergent series.
Please help me with my assignment

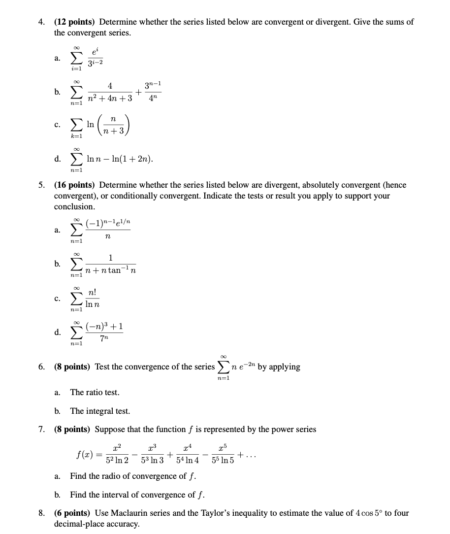
(12 points) Determine whether the series listed below are convergent or divergent. Give the sums of the convergent series. 4 3n1 b E n2+4n+3+ 4\" n l c g n(n+3) d. 2 lnn lnfl + 21:). 11:1 (16 points) Determine whether the series listed below are divergent, absolutely convergent (hence convergent), or conditionally convergent. Indicate the tests or result you apply to support your conclusion. co _1)nlEl 00 (8 points) Test the convergence of the series 2 R 6'2\" by applying n=1 :1. The ratio test. b. The integral test. (8 points) Suppose that the function f is represented by the power series 2:2 I3 I4 IS HI)' 52112 531113 ' 541114 55115 i a. Find the radio of convergence of f. b. Find the interval of convergence of f. (6 points) Use Maclaurin series and the Taylor's inequality to estimate the value of 400s 5 to four decimal-place accuracy
Step by Step Solution
There are 3 Steps involved in it
Get step-by-step solutions from verified subject matter experts
