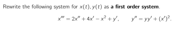
Question: Please help me with the following problem and include steps. Thanks! Rewrite the following system for x(t). y(t) as a first order system. x =
Please help me with the following problem and include steps. Thanks!

Step by Step Solution
There are 3 Steps involved in it
1 Expert Approved Answer
Step: 1 Unlock
Question Has Been Solved by an Expert!
Get step-by-step solutions from verified subject matter experts
Step: 2 Unlock
Step: 3 Unlock
