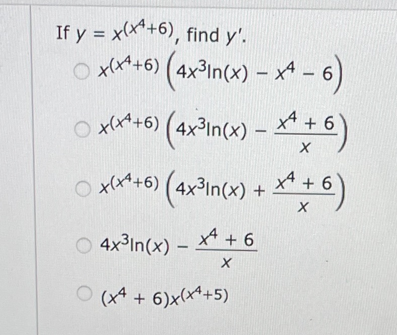
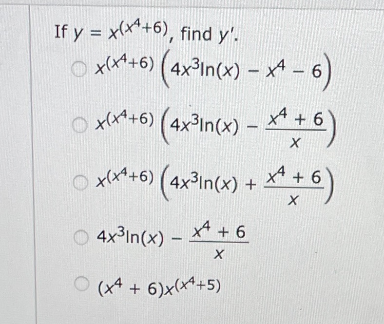
Question: Please help thank you! (x4+6), find y'. If y = x x(x4+6) - x4 -- 6) x(x4+6) 4x31n(x) x(x4+6) 4x31n(x) + 4x31n(x) (x4 +

(x4+6), find y'. If y = x x(x4+6) - x4 -- 6)

Please help thank you!

x(x4+6) 4x31n(x) x(x4+6) 4x31n(x) + 4x31n(x) (x4 +

(x4+6), find y'. If y = x x(x4+6) - x4 -- 6) x(x4+6) 4x31n(x) x(x4+6) 4x31n(x) + 4x31n(x) (x4 +

Step by Step Solution

There are 3 Steps involved in it

1 Expert Approved Answer
Step: 1 Unlock blur-text-image
Question Has Been Solved by an Expert!

Get step-by-step solutions from verified subject matter experts

Step: 2 Unlock
Step: 3 Unlock

Students Have Also Explored These Related Mathematics Questions!