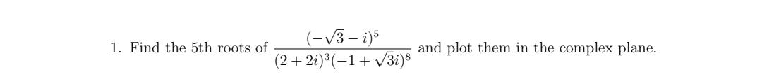
Question: please help this complex number question with clear steps snd details, thank you so much (x/ as 1. Find the 5th roots of (2 +
please help this complex number question with clear steps snd details, thank you so much

(x/ as 1. Find the 5th roots of (2 + 22')3(1 + gs and plot them in the complex plane
Step by Step Solution
There are 3 Steps involved in it
Get step-by-step solutions from verified subject matter experts
