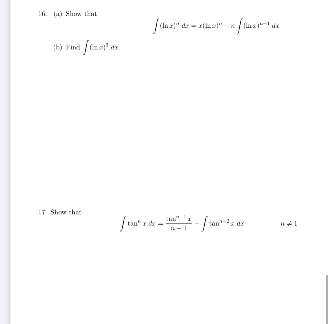
Question: Please help with the following problems: 1. Write out the form of the partial fraction decomposition of 'tx' + 1 r(x- 1)2(x2 + x +





Please help with the following problems:





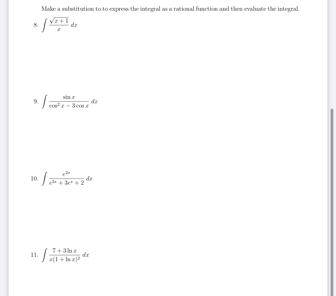
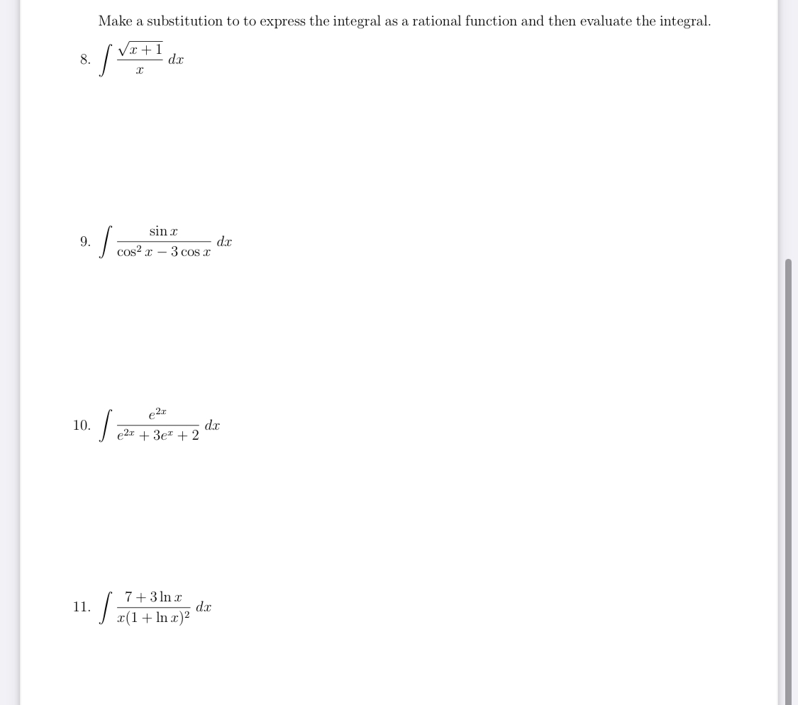
1. Write out the form of the partial fraction decomposition of 'tx' + 1 r(x- 1)2(x2 + x + 1)(x2 + 1)3\fMake a substitution to to express the integral as a rational function and then evaluate the integral. 8. Vi+1 - dx sin r 9. dax cos- x - 3 cos x p2r 10 . e2x + 3ex + 2 7+3lnr 11. x(1 + Inx)2 dx
Step by Step Solution
There are 3 Steps involved in it
Get step-by-step solutions from verified subject matter experts
