Question: Please help with these and keep response neat and easy to follow. Note dont integrate ln we cant integrate ln in this course so I

Please help with these and keep response neat and easy to follow. Note dont integrate ln we cant integrate ln in this course so I cant use it so I don't need to learn it.



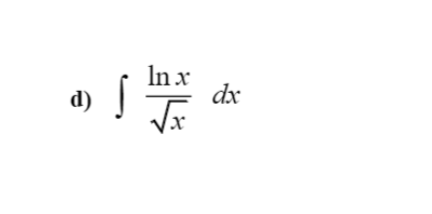
Q #8 Please evaluate the following integrals by the simplest method that works. This said, still full points if done correctly by a less efficient method.
Step by Step Solution
There are 3 Steps involved in it
Get step-by-step solutions from verified subject matter experts
