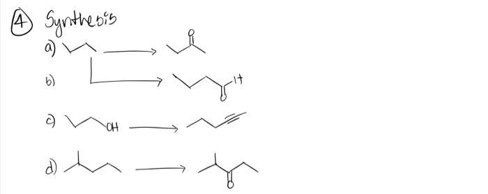
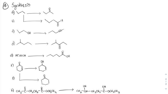
Question: please help with these ones guys i would really appreciate it!! please help answer all!! (4) Syrthebis a) b) c) e) HC=CH F) 9) h)

(4) Syrthebis a) b) c) e) HC=CH F) 9) h) 8) J) =hOH k) RHB L) =CH (4) Synthe bis a) b) c) d)
Step by Step Solution
There are 3 Steps involved in it
Get step-by-step solutions from verified subject matter experts
