Question: please help with this. It seems longer than it is beacuse there are examples provided. 1 of 8 Perceptual Maps The construction of a perceptual

please help with this. It seems longer than it is beacuse there are examples provided. please help with this. It seems longer than it is
please help with this. It seems longer than it is
please help with this. It seems longer than it is
please help with this. It seems longer than it is
please help with this. It seems longer than it is
please help with this. It seems longer than it is
please help with this. It seems longer than it is
please help with this. It seems longer than it is
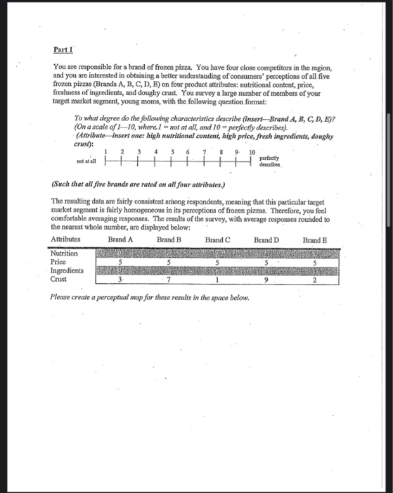
1 of 8 Perceptual Maps The construction of a perceptual map helps marketing strategists better understand the positioning of their product/service, and the positioning of their competitors' products/services A product's position, of course, is the way in which consumers perceive a product on important features relative to competing products. As a very simplified example, if a marketer is interested in how her brand of beer (brand A) and two competing brands of beer brands B and Care perceived by target consumers, she might ask consumers to answer questions such as: To what degree do the following characteristics describe Brand 4? (On a scale of 1-10, where I not at all, and 10 - perfectly describes). High priced: Light: To what degree do the following characteristics describe Brand B? (On a scale of 1-10, where I not at all, and 10 - perfectly describes). High priced: Light: To what degree do the following characteristics describe Brand C (On a scale of 1-10, where I not at all, and 10 - perfectly describes). High priced: Light: If the target market being investigated is fairly homogenous, and so averaging the responses would not forego important data, she can look at the average responses by consumers in this target segment, and plot those mean responses on a two-dimensional map. For instance, if Brand A received an average response of 8 on the "high priced" dimension and 3 on the "light" dimension, and Brand B received an average response of 3 on the "high priced dimension and 2 on the "light" dimension, and Brand Creceived an average response of 5 on the "high priced dimension and 4 on the "light" dimension, she could plot these mean responses as follows: Mighed net light HHHH H HHH light low priced Although the above is obviously a very simplified example, perceptual maps can be quite useful when investigating consumer perceptions of many different brands or many different attributes. In general, software systems are used to plot these results in multidimensional space. The number of dimensions of a perceptual map is equal to the number of attributes that are investigated in a perceptual mapping application. In the simplified example above, there are just two product attributes: high priced and light. So in this example, the resulting data can casily be plotted in two-dimensional space. However, most perceptual mapping applications involve more than two product attributes, and when this is the case, creative plotting strategies are needed to represent the multidimensional data results in two- dimensional space. Many times, vectors or lines are used to represent the many different attributes, and the distance between each brand and the attribute line denotes the degree to which consumers perceive that attribute as describing that brand. For example, consider the amount of information that appears in the perceptual map recreated on the next page. In this example, the authors have attempted to visually represent a large number of armchair types (in this case, the armchairs can be thought of as the different brands) on a large number of attributes. Chuang, Y., & Chen, L.-L. (2008). "How to Rate 100 Visual Stimuli," International Journal of Design Complex & ES Rotona 5 Sources: Chuang, Y. & Chen, C.-L. (2008). "How to Rate 100 Visual Stimull,"international Journal of Design Many of the current perceptual mapping software systems utilize a type of factor analysis in their analysis of data such that when the different brands are all perceived in the same way on an attribute, that attribute is deleted, since it generates no new information. In other words, because all brands are perceived in exactly the same way on that attribute, the inclusion of the attribute does not contribute any information to an understanding of the relative positioning of brands, and so the attribute falls out of the data mix. This approach also results in the combination of two or more attributes if the data related to those attributes are highly correlated. If, for example, when consumers are responding to questions regarding attributes of winter tires, they perceive the attribute "handling in exactly the same way as the attribute traction across all rated brands, it is likely that these two attributes are viewed by the consumer as one and the same. In this case, the two highly correlated attributes should be combined into one attribute, since the data from one attribute merely mimics the other, providing no new information. Often when this is done, the resulting combined attribute is given an appropriate name, such as "handling and traction." Part 1 You are responsible for a brand of frozen pizza. You have four close competitors in the region, and you are interested in obtaining a better understanding of consumers' perceptions of all five frozen pizzas (Brands A, B, C, D, E) on four product attributes nutritional content, price, freshness of ingredients, and doughy crust. You survey a large number of members of your target market segment, young moms, with the following question format: To what degree do the following characteristics describe insert-Brand A, B, C, D, E)? (On a scale of 1-10, where I = not at all, and 10 = perfectly describes). (Attribute insertone: high nutritional content, high price, fresh ingredients, dougly C ): 1 2 3 4 5 8 9 10 A HHHHHHH escribes (Such that all five brands are rated on all four attributes.) The resulting data are fairly consistent among respondents, meaning that this particular target market segment is fairly homogeneous in its perceptions of frozen pizzas. Therefore, you feel comfortable averaging responses. The results of the survey, with average responses rounded to the nearest whole number, are displayed below: Attributes Brand A Brand B B rand C Brand D Brand B Nutrition Price Ingredients Crust Please create a perceptual map for these results in the space below. Part 2 Your boss has asked you to brainstorm growth strategies for the coming year, and has specifically asked that you evaluate the profitability of extending the frozen pizza line to include more varieties. He is wondering if there may be opportunities in the marketplace that have not yet been addressed by any currently existing product offering. He would prefer not to cannibalize your existing company brand (Brand A), and if possible, would prefer not to compete "head-to-head" with any competing brand (Brands B, C, D, or E), since the struggle to win market share by competing directly with an existing competing product is typically a very costly undertaking Do you see any potential growth opportunities in the perceptual map you created in Part 1 that would meet your boss' criteria? Please describe the opportunity (ies). Do you have enough information now to make the decision to pursue this opportunity? What other information do you need in order to assess whether this potential opportunity might be worth pursuing? Part 3 Once a potential growth opportunity has been identified on a perceptual map, more information must be collected. It is possible that there are no existing products in a particular area of a perceptual map for good reason. It may be that there are no products in that product space because there is not a viable market for that type of product. For example, in looking at the armchair example, one sees a potential opportunity in the space that could be described as an extremely "Realistic" design. However, whereas that type of armchair could certainly be marketed, the demand for the chair may be so low that there is no real opportunity there. In other words, it is possible that there is no existing armchair design in that area of the map simply because there is not sufficient demand for that type of armchair, no one wants an armchair that is extremely "Realistic" in design When assessing an opportunity on a perceptual map, one must evaluate whether sufficient consumer demand exists for a product that would fill the product space indicated by the potential opportunity In the beer example used at the start of this case, let's imagine that the marketer asks one specific COSmer the following questions: With regard to beer, my ideal product would be: : (On a scale of 1-10, where not at all, and 10 - perfectly describes). High priced: 9 10 not ut ait HHH H H Light: perly describes (Please note that whereas it is tempting to make assumptions about ideal points, this can offer get a marketer into trouble. For example, in the above, it may seem obvious that a consumer would want a beer that is not of all high priced. However, in reality there are many Consumers who prefer to drink a high priced beer for the status that it confers.) If, in this overly simplified beer example, this one specific consumer answered 2 to the "high priced" question and 9 to the "light" question, that specific consumer's "Ideal Point (symbolized by *T") could be plotted on the map as follows: high priced net light HHHHHHHHight low priced It appears that this one specific consumer's ideal("1") is not being met by any of the existing brands of beer brands A, B, or C). This may indicate a market opportunity if, and only if, a sufficient number of consumers share that one specific consumer's "Ideal Point,"thus making the demand for a new beer (that addresses this ideal point) large enough to be profitable. In other words, if this one specific consumer's ideal with regard to beer is only shared by a few other target consumers, the opportunity may not be viable, since the demand would not be great enough to warrant the development of a new product. On the other hand, if there are a large number of target consumers who share that vision of the ideal beer, it may be profitable to develop a new product that meets their needs. By surveying a large number of target consumers about their ideals with regard to a product category, one can begin to see the different clusters of consumer demand that exist. This is, in effect, a way of segmenting consumers by benefits sought. Typically, there are segments of consumers with similar ideal points forming clusters. These clusters, or consumer segments, are plotted in different parts of the map to indicate the location of each segment's ideal point. In some product categories, all consumer ideal points are very similar, resulting in one large cluster at a specific point on the map. But for most product categories, different segments of consumers possess quite different ideal points-if this were not the case, we would all drive the same car! The size of each cluster depicted on the map is used to indicate the relative size of that consumer segment. A map that represents many ideal point clusters, or consumer segments, is called a preference map. A hypothetical preference map for the beer example is shown below: high priced net light H U HHHH Mlade low priced If we compare the perceptual map and the preference map for the beer example, we can see how consumer perceptions of existing beer brands on these two attributes match up with various consumer segments ideal points with regard to those attributes. We also have a visual representation of the relative size of each cluster consumer segment. Given this very simplified beer example, please answer the following question: 1. As brand manager for Brand A beer, which competitor, Brand Bor Brand C, is your closest competitor? 2. As brand manager for Brand A beer, what opportunities and threats do you see highlighted by the perceptual and preference maps? 3. What else have you learned from the two maps

Step by Step Solution

There are 3 Steps involved in it

1 Expert Approved Answer
Step: 1 Unlock blur-text-image
Question Has Been Solved by an Expert!

Get step-by-step solutions from verified subject matter experts

Step: 2 Unlock
Step: 3 Unlock

Students Have Also Explored These Related General Management Questions!