Question: PLEASE, IDENTIFY CORRESPONDING PART (a, b & c) Consider the following problem: a) Using the Big M method, construct the first initial simplex tableau for
PLEASE, IDENTIFY CORRESPONDING PART (a, b & c)
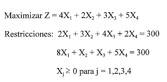
Consider the following problem:

a) Using the Big M method, construct the first initial simplex tableau for the simplex method and identify the basic corresponding feasible initial (artificial). Also, identify the basic initial variable that goes in and the basic variable that goes out.
b) Solve using the simplex method.
c) Solve using the revised simplex method.
Maximizar Z=4X, + 2X2 + 3X3 + 5X4 Restricciones: 2X, +3X2 +4X2 + 2X4 = 300 8X, + X2 + X3 + 5X1 = 300 X; Z 0 para j = 1,2,3,4Step by Step Solution
There are 3 Steps involved in it
Get step-by-step solutions from verified subject matter experts
