Question: please just give the answers and number. Problem 14-02 (Algorithmic) DJS Investment Services must develop an investment portfolio for a new client. As an initial
please just give the answers and number.


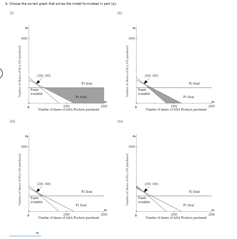
Problem 14-02 (Algorithmic) DJS Investment Services must develop an investment portfolio for a new client. As an initial investment strategy, the new client would like to restrict the portfolio to a mix of two stocks: Stock AGA Products Key Oil Price/Share $ 50 100 Estimated Annual Return (%) 6 10 The client wants to invest $40,000 and established the following two investment goals: Priority Level 1 Goal Goal 1: Obtain an annual return of at least 9%. Priority Level 2 Goal Goal 2: Limit the investment in Key Oil, the riskier investment, to no more than 60% of the total investment. a. Formulate a goal programming model for the DJS Investment problem. If you don't need the variable in the model, enter "O". If you need a negative number, enter minus sign with it. Let x1 = number of shares of AGA Products purchased x2 = number of shares of Key Oil purchased dit = the amount by which the annual return for the portfolio is greater than the target value di = the amount by which the annual return for the portfolio is less than the target value dz= the amount by which the portfolio risk index exceeds the target value of the total investment di = the amount by which the portfolio risk index is less than the target value of the total investment Min 2 Pi(d) + 1 P2(d2+) 50 X + 100 x2 ≤) 40,000 Funds available 3 x + 10 X2 + -1 di + 1 di = 3,600 P. Goal 0 X1 + 100] X2 + = 16,000 P2 Goal -1 d2 + 1 dz X1, X2, dt, di da, da" & ex2265; 0 b. Choose the correct graph that solves the model formulated in part (a). (1) 22 1000+ 1000 Number of shares of Key Oil purchased Number of shares of Key Oil purchased (200, 300) (200, 300) P2 Goal Funds available P2 Goal Funds available P1 Goal ti 0 1000 2000 Number of shares of AGA Products purchased P1 Goal 1 2000 0 1000 Number of shares of AGA Products purchased (H) (iv) 12 1000- 1000+ Number of shares of Key Oil purchased Number of shares of Key Oil purchased (200, 300) (200, 300) P2 Goal Funds available P1 Goal 11 0 1000 2000 Number of shares of AGA Products purchased P2 Goal Funds available P1 Goal Ti 0 1000 2000 Number of shares of AGA Products purchased