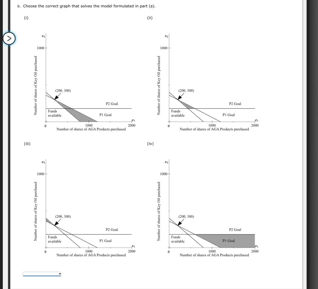
Question: Problem 14-02 (Algorithmic) ? DJS Investment Services must develop an investment portfolio for a new client. As an initial investment strategy, the new client would


Step by Step Solution
There are 3 Steps involved in it
1 Expert Approved Answer
Step: 1 Unlock
Question Has Been Solved by an Expert!
Get step-by-step solutions from verified subject matter experts
Step: 2 Unlock
Step: 3 Unlock
